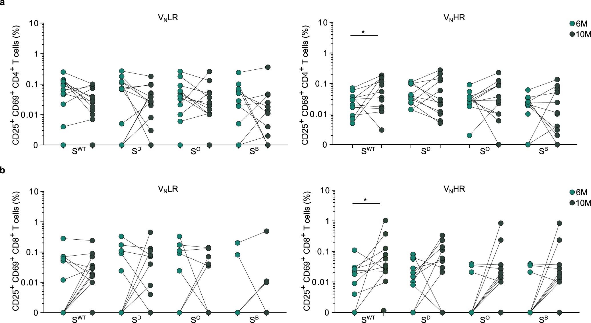
Extended Data Fig. 10: Analysis of specific CD4+ and CD8+ T cell responses against SWT, SD, SO and SB in VNLR, VNHR and VR subjects, at months 6 and 10 postvaccination.

a, b, Flow cytometry analysis showing the percentage of CD25+ CD69+ CD4+ (a) and CD8+ (b) T cells in VNLRs (n = 13), and VNHRs (n = 12) at months 6 and 10, after 24h incubation with SWT, SD, SO or SB peptide megapools. The same subjects were longitudinally analyzed. Data are represented with background subtraction from paired unstimulated controls. Each dot of box plots represents the average between three technical replicates of the same subject. All data are pooled from multiple experiments. Statistics were calculated using two-sided Wilcoxon signed-rank tests. *P < 0.05.