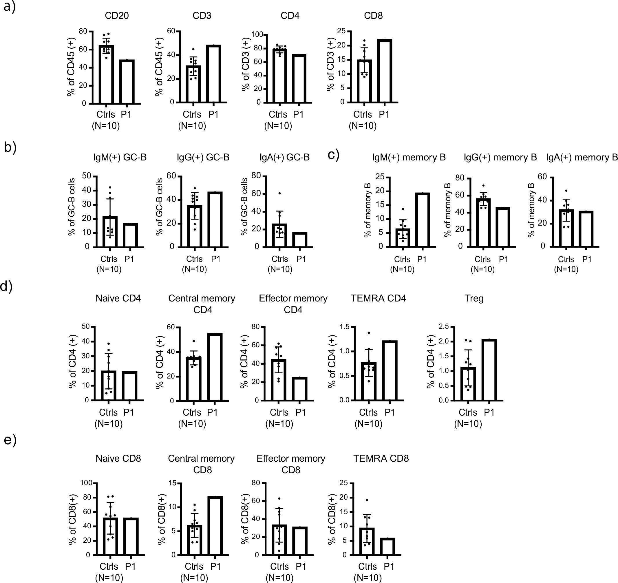
Extended Data Fig. 7: Spectral flow cytometry analysis of human adenoids.
From: Biallelic human SHARPIN loss of function induces autoinflammation and immunodeficiency

(a–e) Adenoid single-cell suspensions from SHARPIN-deficient P1 and 10 unrelated pediatric control donors were analyzed. (a) Quantification of CD3+, CD4+, CD8+ and CD20+ populations in adenoid samples. (b, c) Surface immunoglobulin expression in the (b) germinal center B and (c) memory B populations. (d, e) Quantification of T cell subpopulations in the adenoid samples. Mean values ± s.d are displayed.