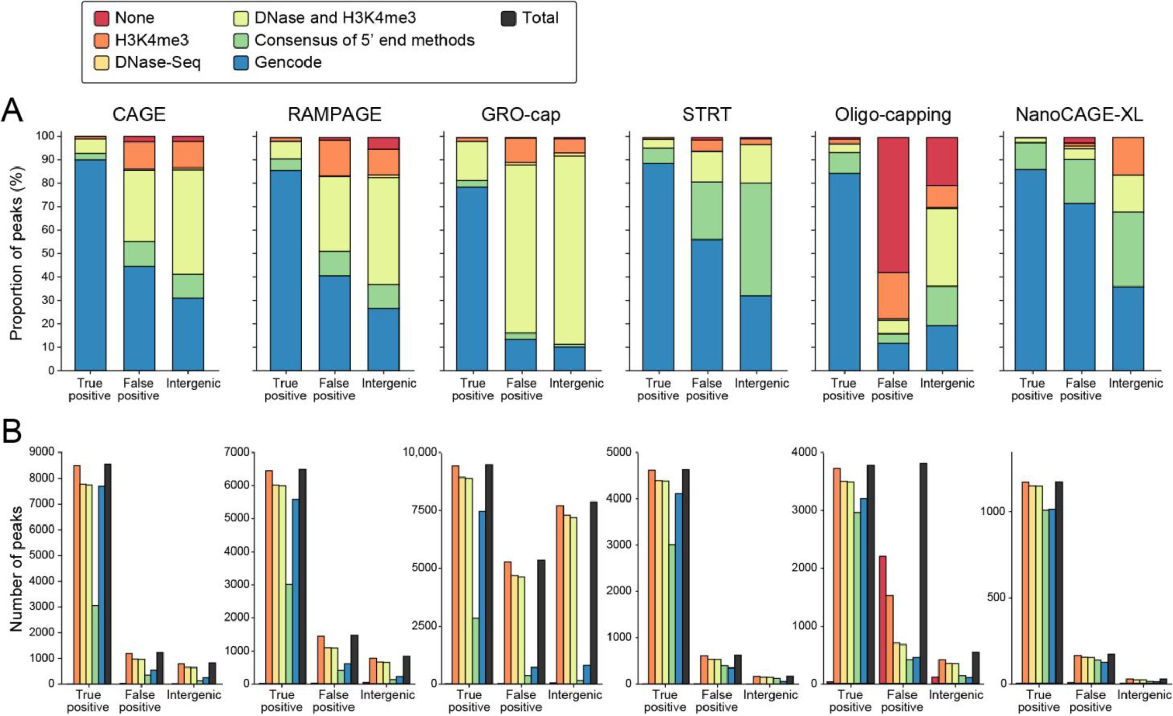
Supplementary Figure 11: TSS discovery for unannotated peaks.
From: Comprehensive comparative analysis of 5′-end RNA-sequencing methods

(a,b) Corroborative data for TSS peaks from all methods. Shown are the proportion (a) and number (b) of peaks (y axis) with support from each corroborative data source (color legend) for peaks initially defined as ‘true positive’, ‘false positive’ and ‘intergenic’ based on the UCSC annotation. (a) Peaks were assigned to only one category of support as in Fig. 4a. (b) Peaks were assigned to as many corroborative categories as evidence supported as in Fig. 4b.