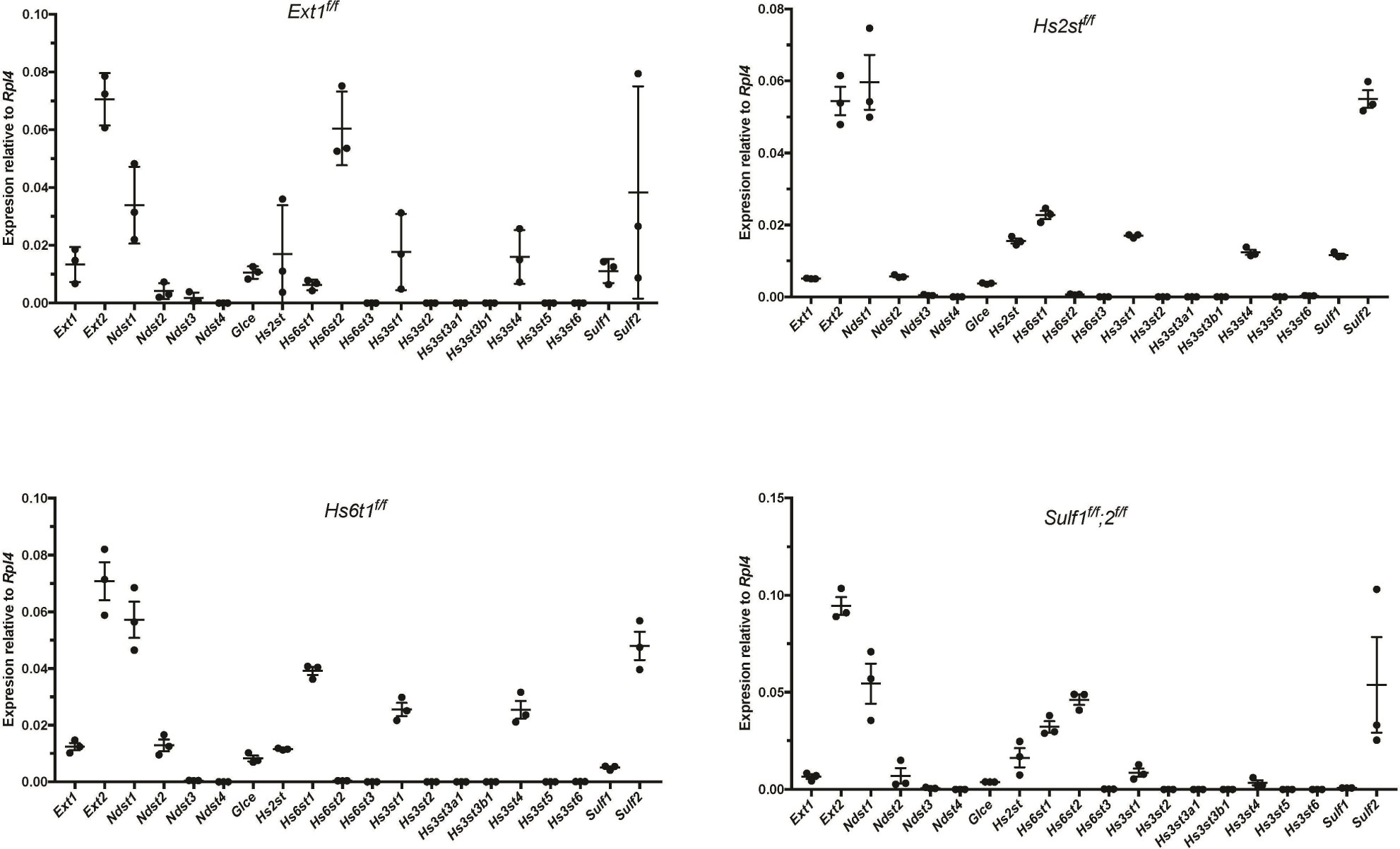
Supplementary Figure 3: The expression patterns of HS biosynthetic and remodeling genes in additional immortalized wild-type MLEC lines.
From: A mutant-cell library for systematic analysis of heparan sulfate structure–function relationships

The gene expression was quantified by qRT-PCR analysis with triplicate repeats. The data are presented as mean ± s.e.m. and are representative of 3 independent experiments.Extended Data. 3