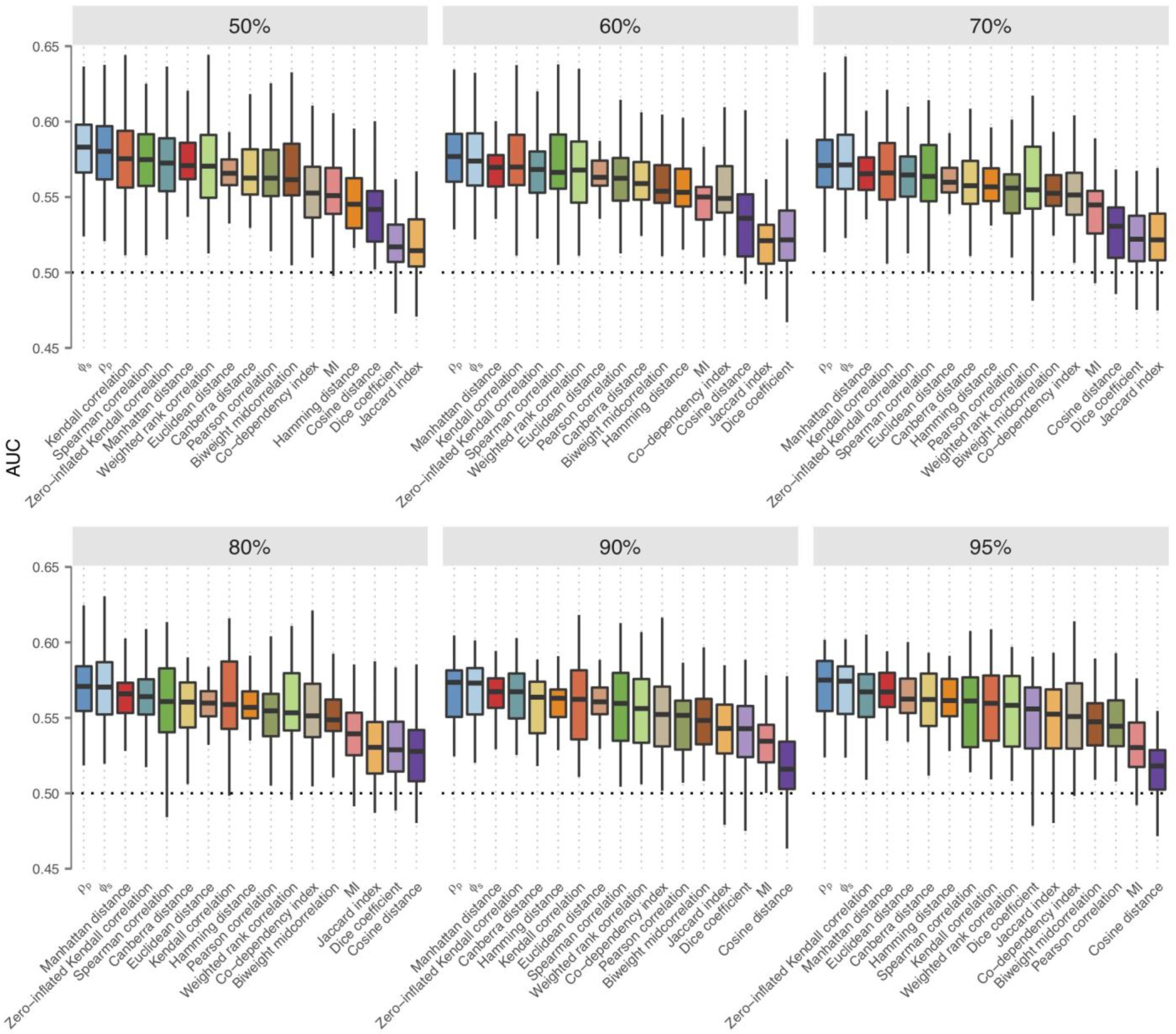
Supplementary Fig. 12: Functional coherence of gene coexpression networks constructed with each measure of association at different thresholds for gene filtering, ranging from non-zero expression in less than 50% of cells (more stringent, less sparse) to non-zero expression in less than 95% of cells (less stringent, more sparse).
From: Evaluating measures of association for single-cell transcriptomics

Box plots show median (horizontal line), interquartile range (hinges) and the smallest and largest values no more than 1.5 times the interquartile range (whiskers) for n = 43 datasets, one per publication.