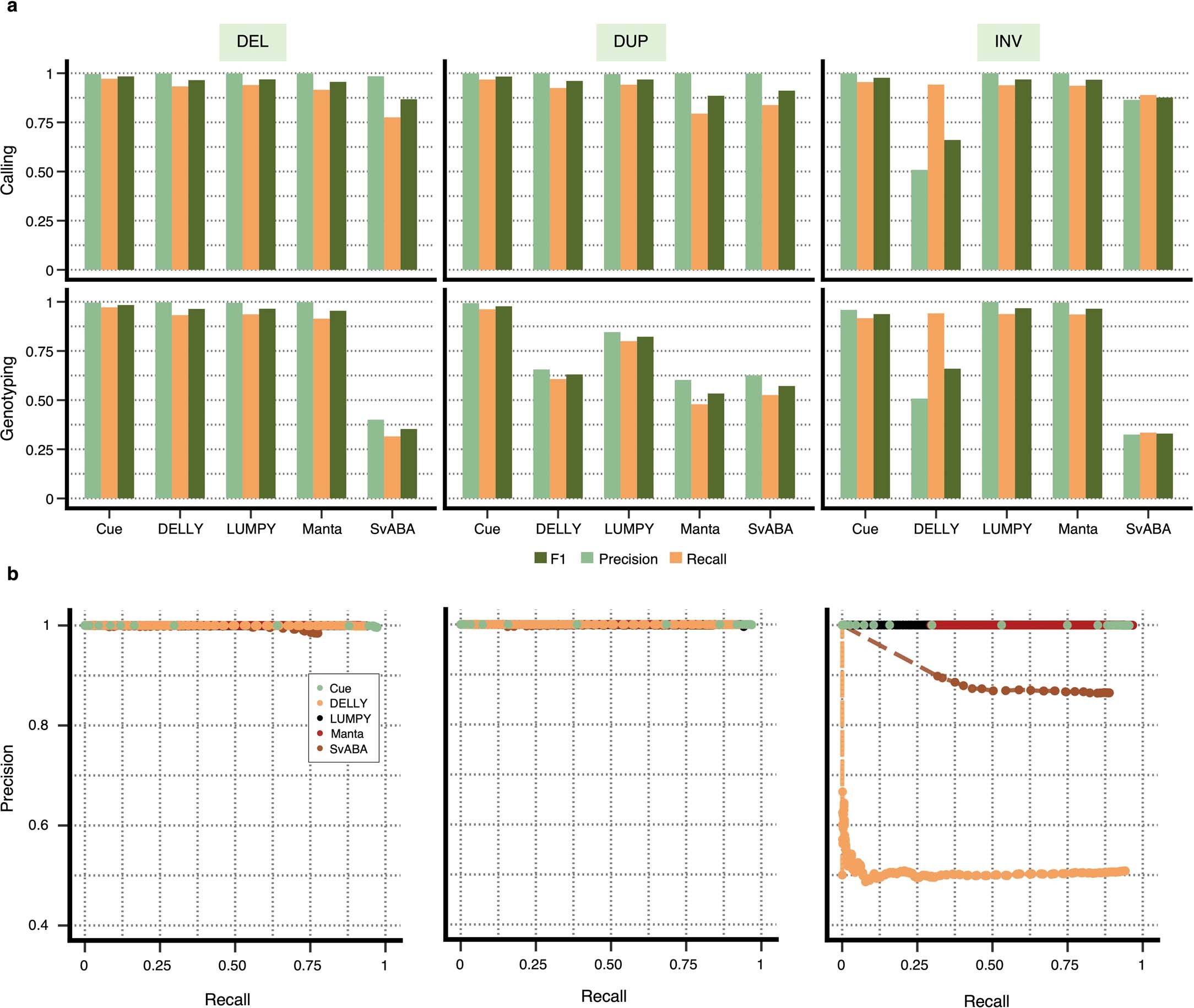
Extended Data Fig. 1: Performance evaluation broken down by SV type on synthetic data at 30x genome coverage.
From: Cue: a deep-learning framework for structural variant discovery and genotyping

a. Precision, recall and F1 score for DEL, DUP and INV calling and genotyping. b. Recall-precision curves for each SV type generated using the SV quality thresholds reported in the QUAL VCF field.