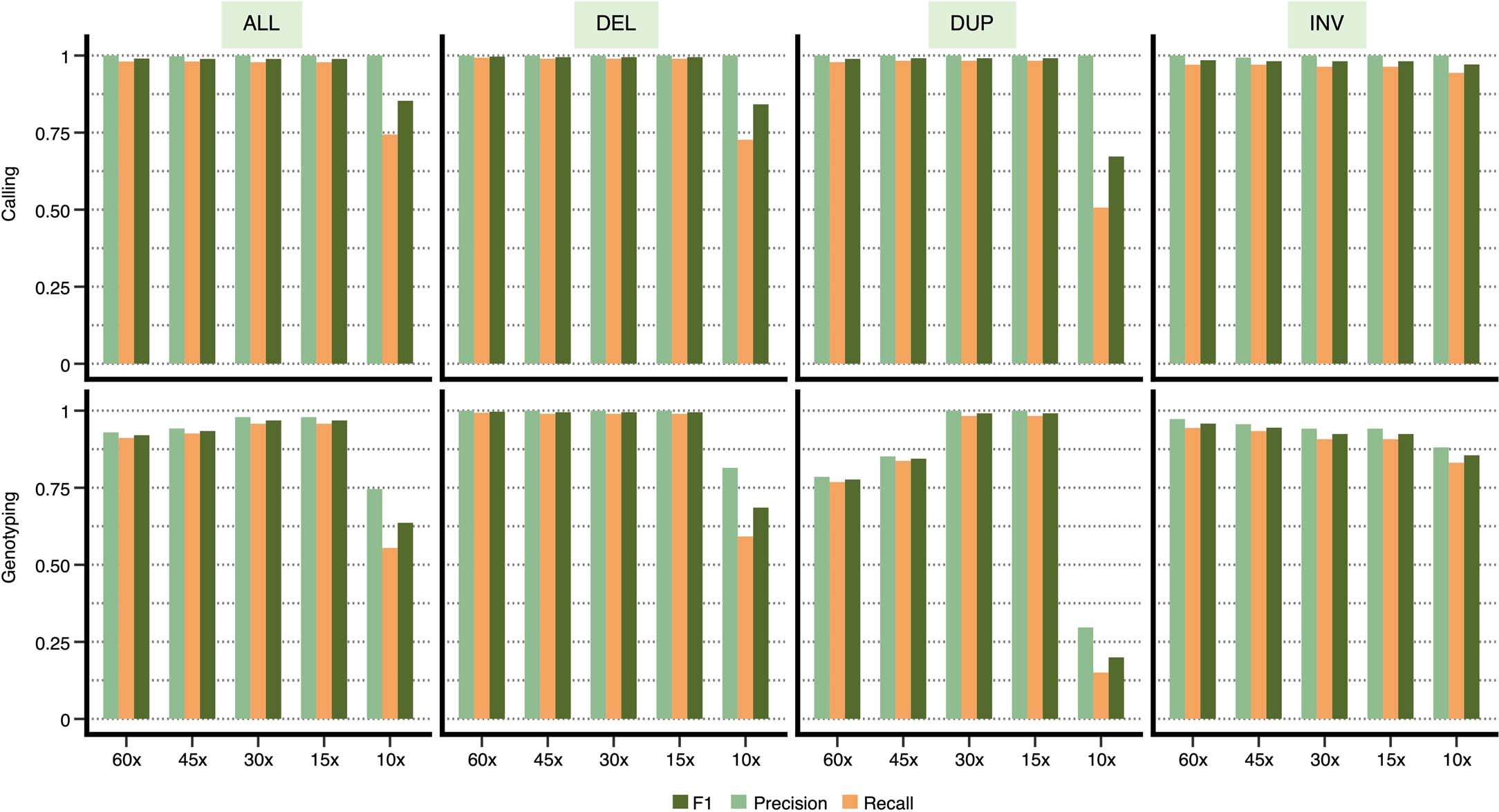
Extended Data Fig. 2: Performance evaluation on synthetic data at varying genome coverage.
From: Cue: a deep-learning framework for structural variant discovery and genotyping

Precision, recall, and F1 score for DEL, DUP, and INV calling and genotyping computed for chr1 at 10x, 15x, 30x, 45x, and 60x genome coverage. Results are shown for all the SV calls combined (‘ALL’) and broken down by type.