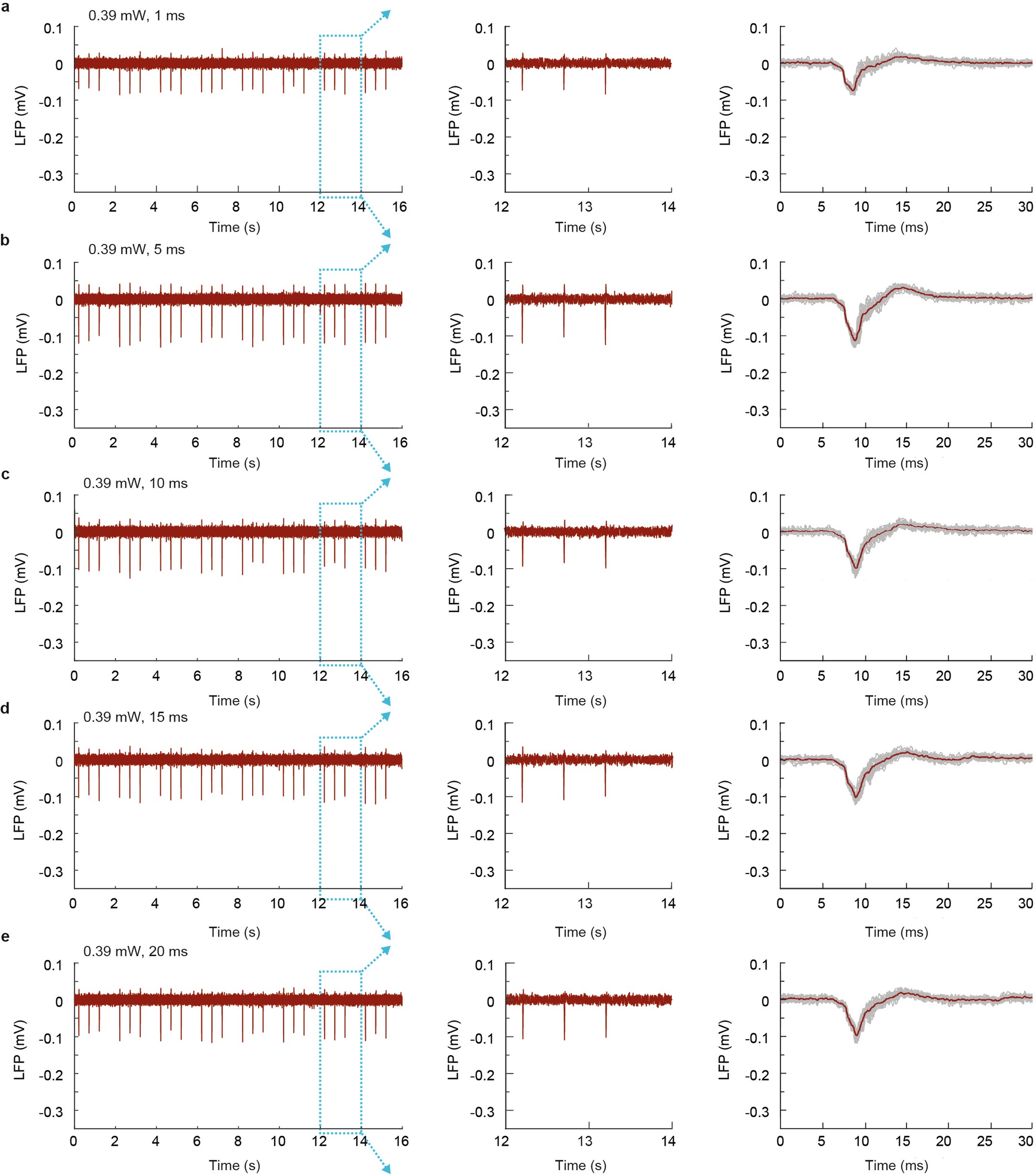
Extended Data Fig. 3: LFP traces have little dependence on the duration of optogenetic stimulation pulses.
From: WISDEM: a hybrid wireless integrated sensing detector for simultaneous EEG and MRI

The reconstructed LFP traces obtained during optogenetic stimulation of a representative rat using different light widths (a–e). Stimulation pulses were applied at 0.2, 0.4, 0.6, 2.2, 2.4, 2.6, 4.2, 4.4, 4.6, 6.2, 6.4, 6.6, 8.2, 8.4, 8.6, 10.2, 10.4, 10.6, 12.2, 12.4, 12.6, 14.2, 14.4, 14.6 s. The gray lines in the right panel show all the LFP traces after individual stimulation pulses (n = 24), while the red line represents the average value of gray traces.