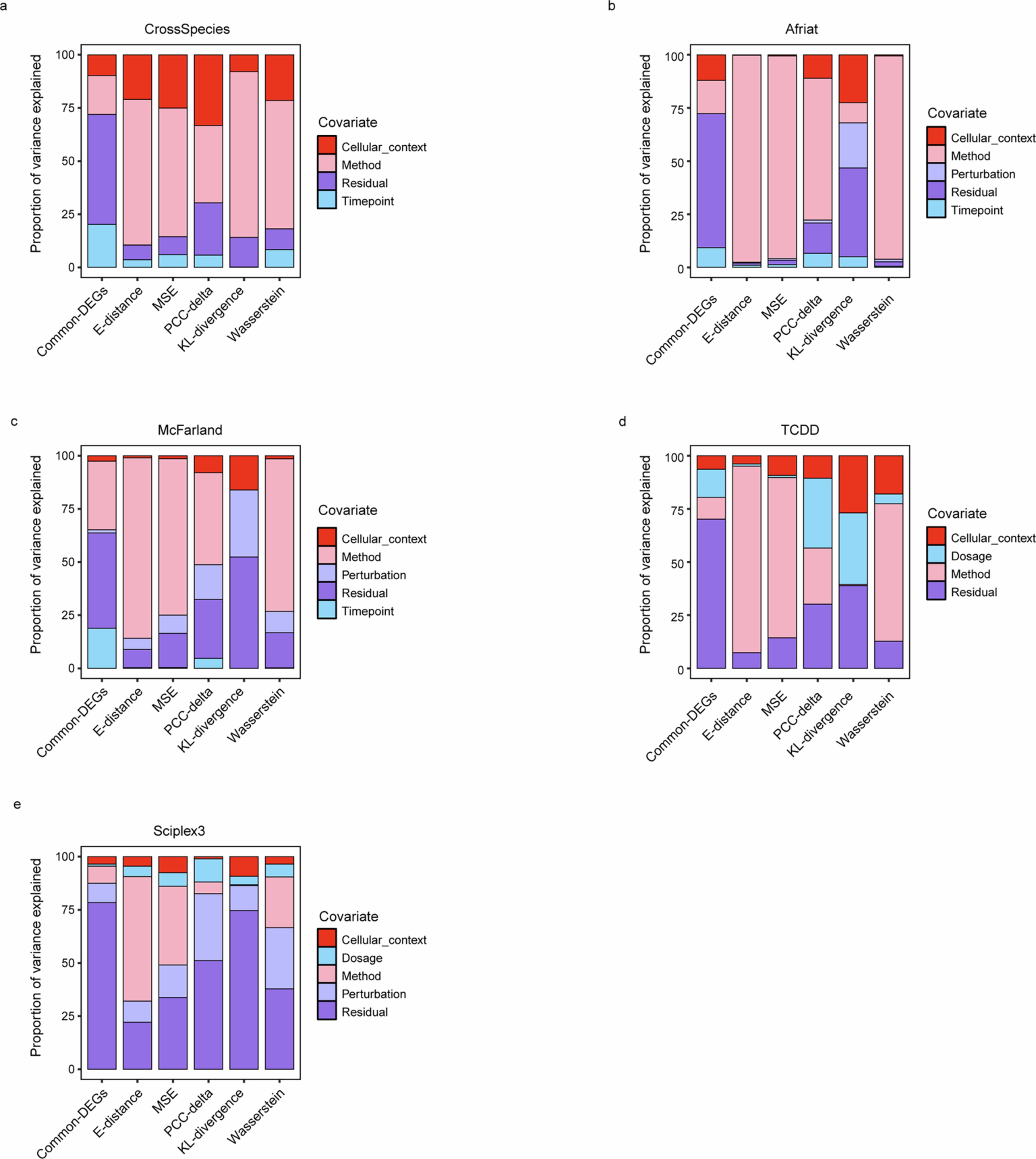
Extended Data Fig. 3: Effects of covariates on model performance across multicondition datasets.
From: Benchmarking algorithms for generalizable single-cell perturbation response prediction

(a-e) For each of the 5 multicondition benchmark datasets, we evaluated the impact of covariates—including cellular context, perturbation, model (method) and time-point/dosage—on prediction performance using ANOVA based on ordinary least squares (OLS) regression. only scDisInFact, biolord, and scVIDR explicitly incorporate time-point/dosage information. Consequently, only these three methods were included in the 5 multicondition datasets. In datasets containing only a single perturbation condition (CrossSpecies and TCDD), only cellular context, model and time-point/dosage were included as covariates. For the remaining datasets, perturbation identity was additionally included as a covariate.