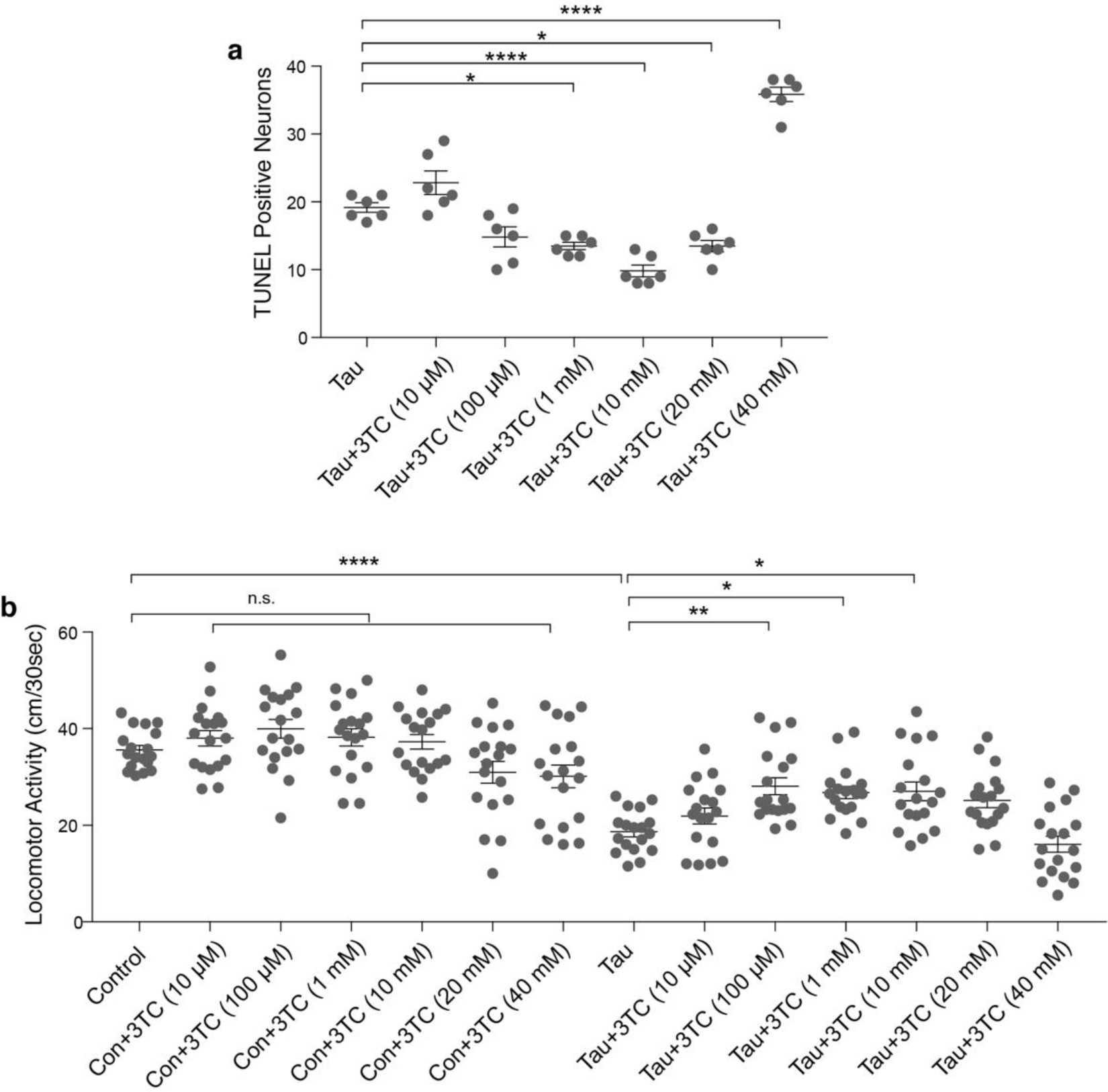
Supplementary Figure 7: Dose-response of 3TC treatment.

a, Neuronal death assayed by TUNEL in tauR406W transgenic Drosophila treated with the indicated dose of 3TC (unpaired, two-tailed Student’s t-test, *P = 0.0157, ****P<0.0001, n = 6 animals per treatment). b, Locomotor activity in control and tauR406W transgenic Drosophila treated with the indicated dose of 3TC (one-way ANOVA with Tukey’s multiple comparison test, n.s. = not significant, *P<0.05, **P = 0.0077, ****P<0.0001, n = 18 animals per genotype, per treatment). Values are mean ± s.e.m. All flies are 10 days old. Full genotypes listed in Supplementary Table 1