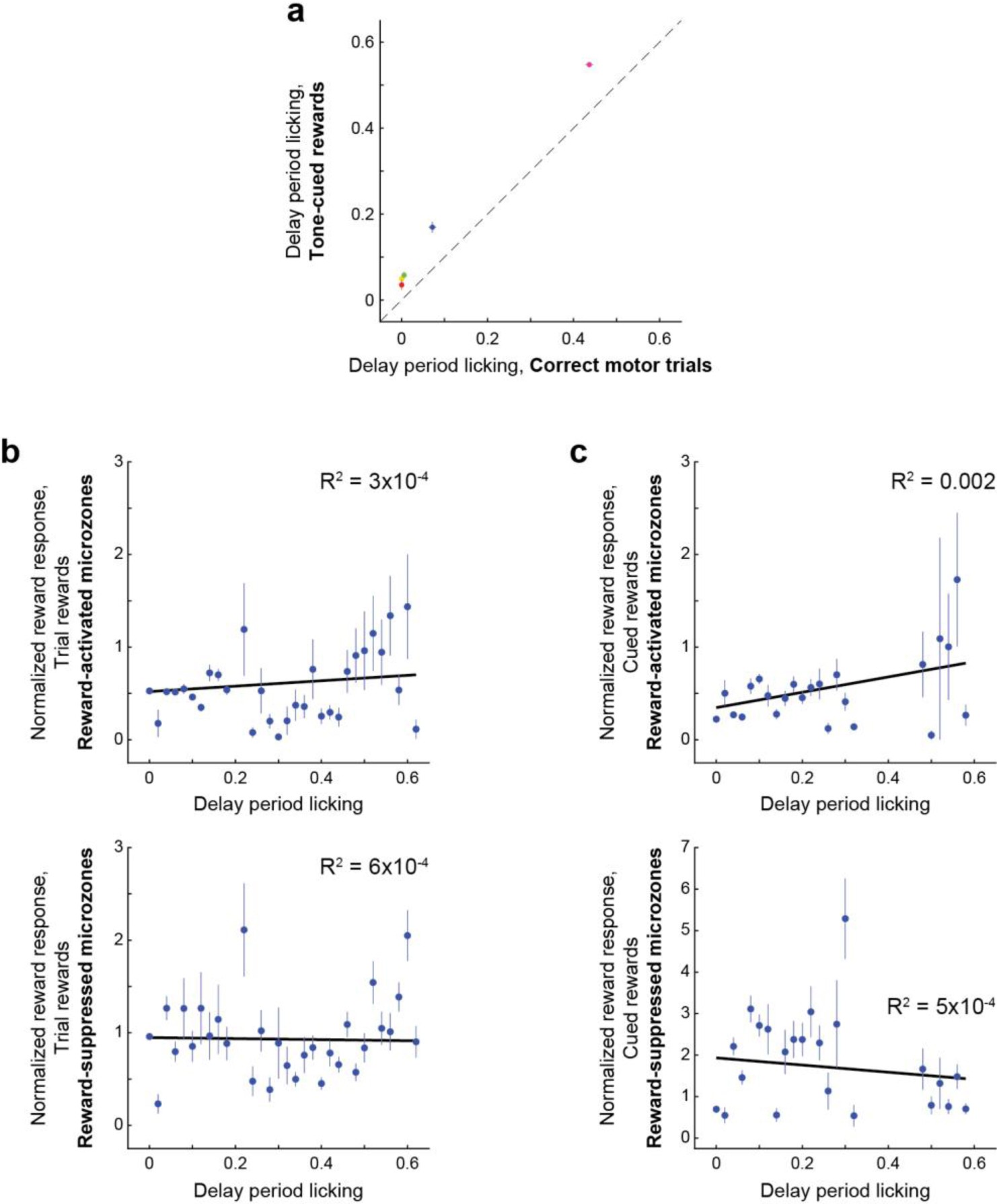
Supplementary Figure 7: Quantification of licking responses across reward conditions.

a. Comparison of delay period (reward-predictive) licking for tone-cued rewards and correct motor trials (-500 to 0 ms relative to reward in both conditions, which had the same delay interval). Mean licking responses in individual mice (n = 5) are as single colored dots with error bars showing across trial s.e.m. All mice exhibited higher predictive licking for tone-cued rewards than on correct motor trials (p = 3 × 10−22 (Mouse 1, yellow), p = 5 × 10−17 (Mouse 2, red), p = 1 × 10−16 (Mouse 3, green), p = 1 × 10−7 (Mouse 4, blue), p = 1 × 10−6 (Mouse 5, magenta), two-sided Wilcoxon rank sum test across trials). b. Normalized response to trial rewards (mean activity in interval 0 to +100 ms after reward in Purkinje cells from reward-activated microzones (top) and reward-suppressed microzones (bottom) as a function of degree of predictive licking. Reward-related responses and predictive licking were quantified on individual trials, after which responses in individual neurons were normalized to the mean response to random reward per neuron and all neuron-trial pairs were binned for plotting according level of predictive licking in each trial. c. Same as panel a but for cued rewards. Data are shown as mean ± s.e.m. In panels b and c, N = 38337 neuron-condition pairs (trial rewards, activated), 51888 pairs (trial rewards, suppressed), 11584 pairs (cued rewards, activated), and 11314 pairs (cued rewards, suppressed). The number of Purkinje cells =361 (reward-activated) and 450 (reward-suppressed) pooled from 5 mice. Black line represents linear fit through all data points (not binned).