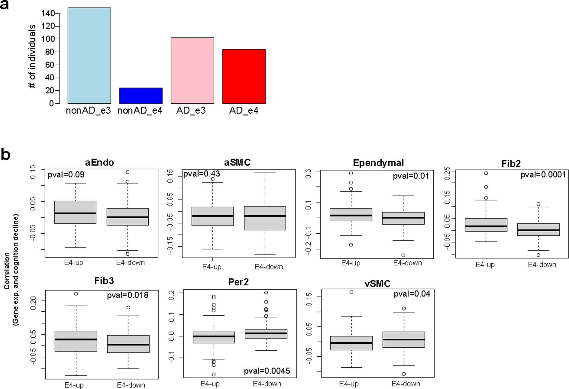
Extended Data Fig. 10: APOE4-associated DEGs and cognitive decline.
From: Single-nucleus multiregion transcriptomic analysis of brain vasculature in Alzheimer’s disease

a. The number of individuals with each combination of AD classification and APOE genotype: nonAD with ε33 alleles, nonAD with ε4 allele, AD with ε33 alleles, and AD with ε4 allele. b. The comparison of apoeDEGs correlation with cognitive decline between up-regulated and down-regulated apoeDEGs in the APOE4 group in each cell type.