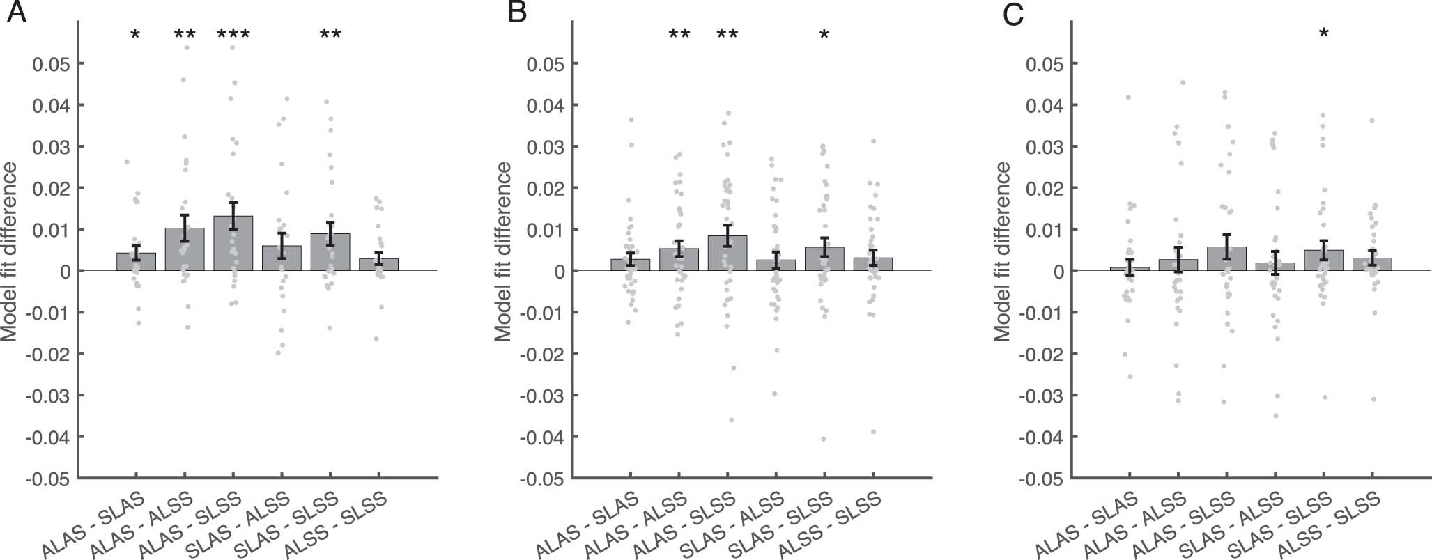
Extended Data Fig. 7: Other brain regions demonstrate some or no evidence for distributional RL.
From: Distributional reinforcement learning in prefrontal cortex

Same format and analyses as Fig. 3c in the main text, and Extended Data Fig. 8. We repeated our model comparison analyses in the other brain regions recorded in this task. These regions are also known to contain reward and prediction error signals, and so we may expect them to carry signatures of distributional RL. We found evidence for distributional RL in caudate (a; n = 26 neurons), weak evidence for it in dorsolateral prefrontal cortex (b; n = 39), and no evidence for it in putamen (c; n = 34). Error bars denote SEM. *P ≤ 0.05, **P ≤ 0.01, ***P ≤ 0.001. However we note that, similar to the first dataset presented in this manuscript, the number of selective neurons in these other regions is smaller than in ACC (which had 94 out of 240 neurons selective; 39%); caudate had 26 out of 115 neurons (23%), dorsolateral prefrontal cortex had 39 out of 187 neurons (21%), and putamen had 34 out of 119 neurons (29%). Furthermore, there were too few neurons selective under the stricter criteria for defining RPE-selective neurons (from Bayer & Glimcher 2005 and used in other parts of this manuscript; Methods), and so we do not analyse the model comparisons in these regions further; caudate (9 out of 115 neurons; 8%), dorsolateral prefrontal cortex (7 out of 187 neurons; 4%), and putamen (11 out of 119 neurons; 9%). We therefore do not wish to make claims about the presence or absence of distributional RL in these regions; rather it is possible the lack of strong evidence for distributional RL in these regions arises from a smaller proportion of neurons that are encoding RPEs.