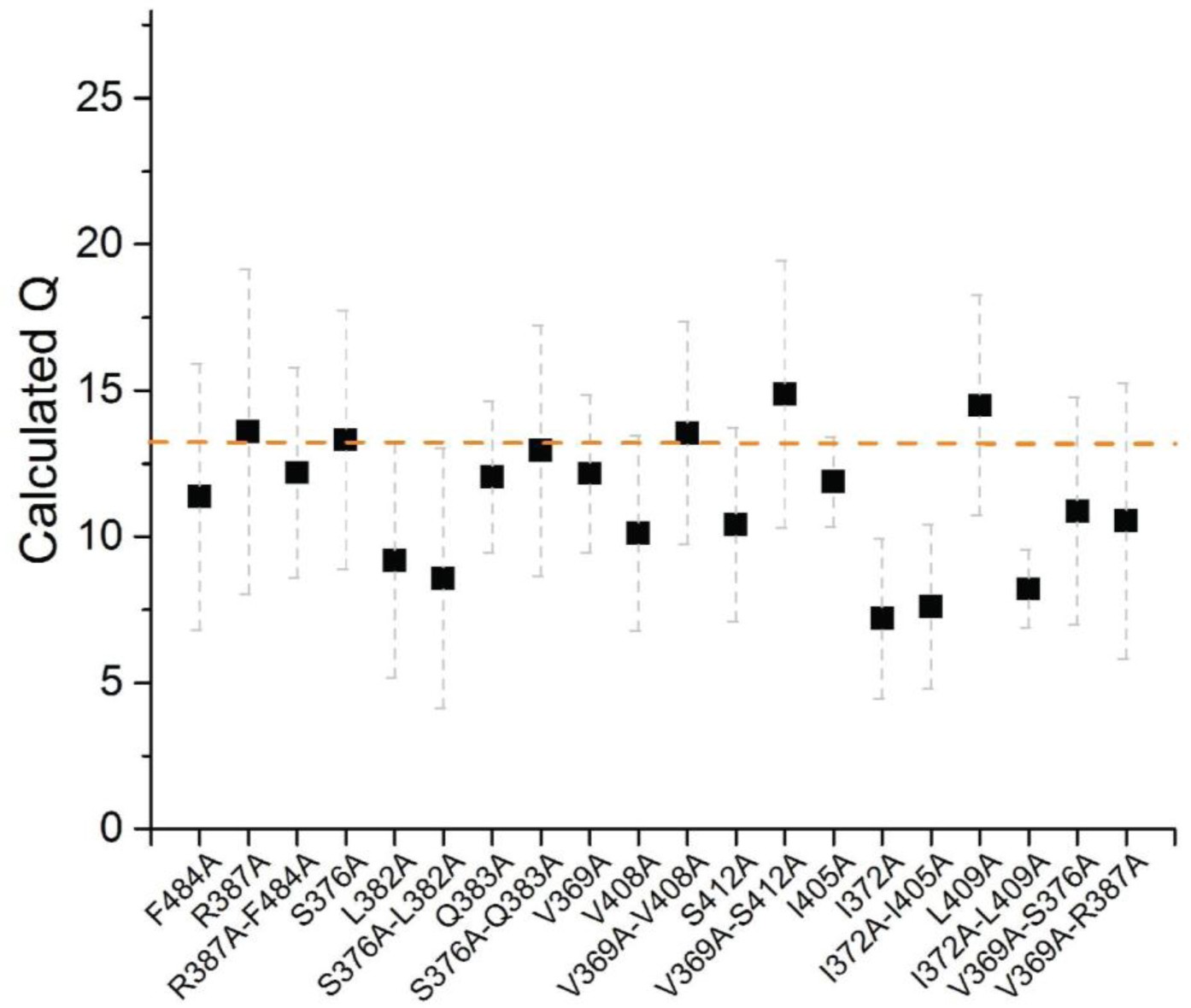
Supplementary Figure 2: Experimentally determined charge per channel for each mutant.

Charge per channel values (filled squares) for various mutants. The vertical dotted bars on each point represents a range corresponding to 95% confidence interval. For reference, the charge per channel for WT Shaker potassium channel which is 13.2 e0 is shown as orange dotted line.