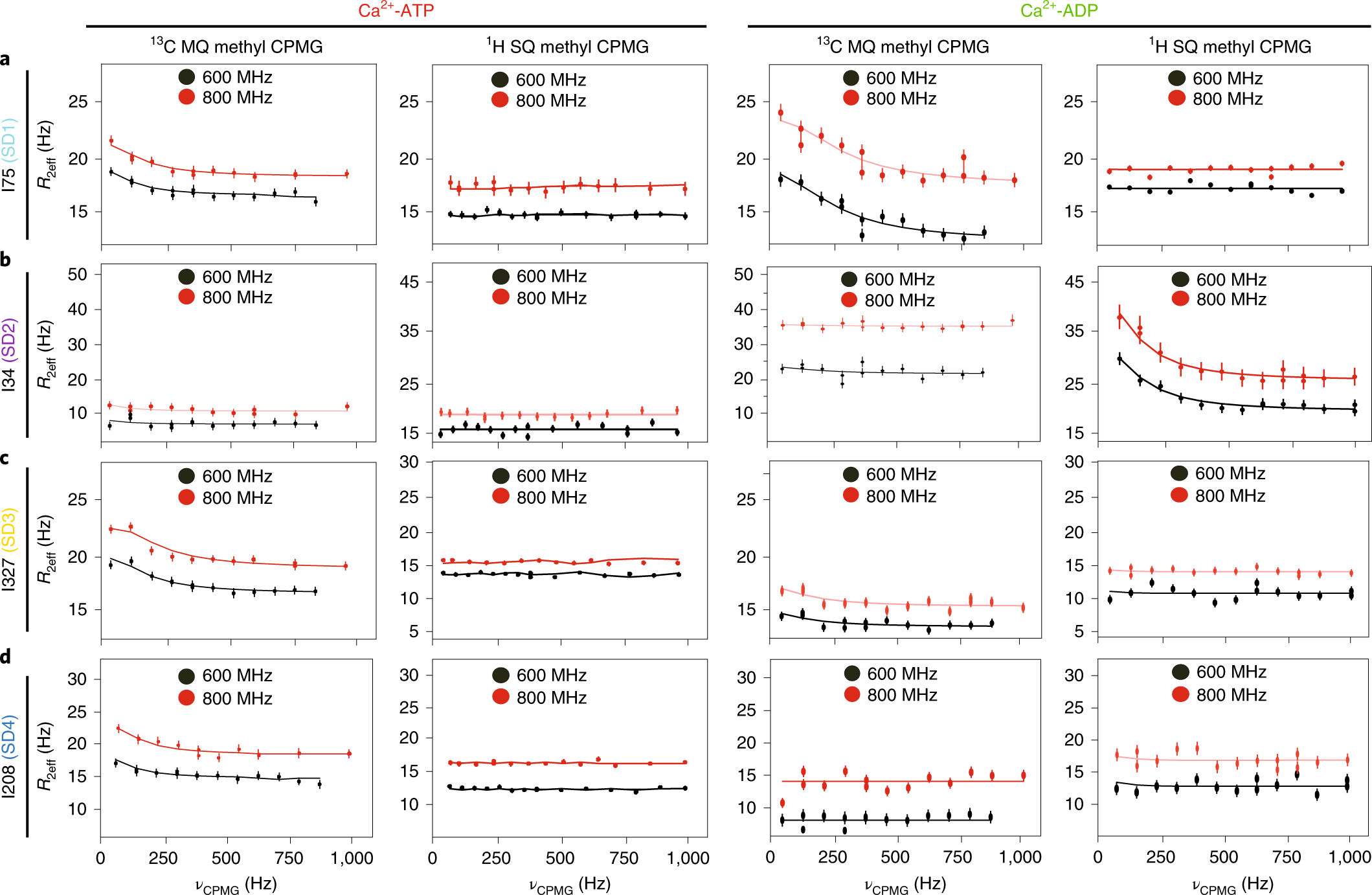
Fig. 3: Microsecond–millisecond dynamics measurements of Ca2+-ATP and -ADP-actin.
From: Bound nucleotide can control the dynamic architecture of monomeric actin

a–d, Representative relaxation dispersion profiles (effective relaxation rate R2eff versus CPMG frequency) for isoleucine residues in SD1 (a), SD2 (b), SD3 (c) and SD4 (d). In all panels, data recorded at 600-MHz and 800-MHz field strengths are shown in black and red, respectively. MQ data (columns 1 and 3) report on the chemical exchange experienced by both 1H and 13C nuclei, whereas SQ data (column 2 and 4) report on the chemical exchange experienced by 1H only. Error bars represent s.d., calculated from the two and three replicated data points for 600- and 800-MHz data, respectively.