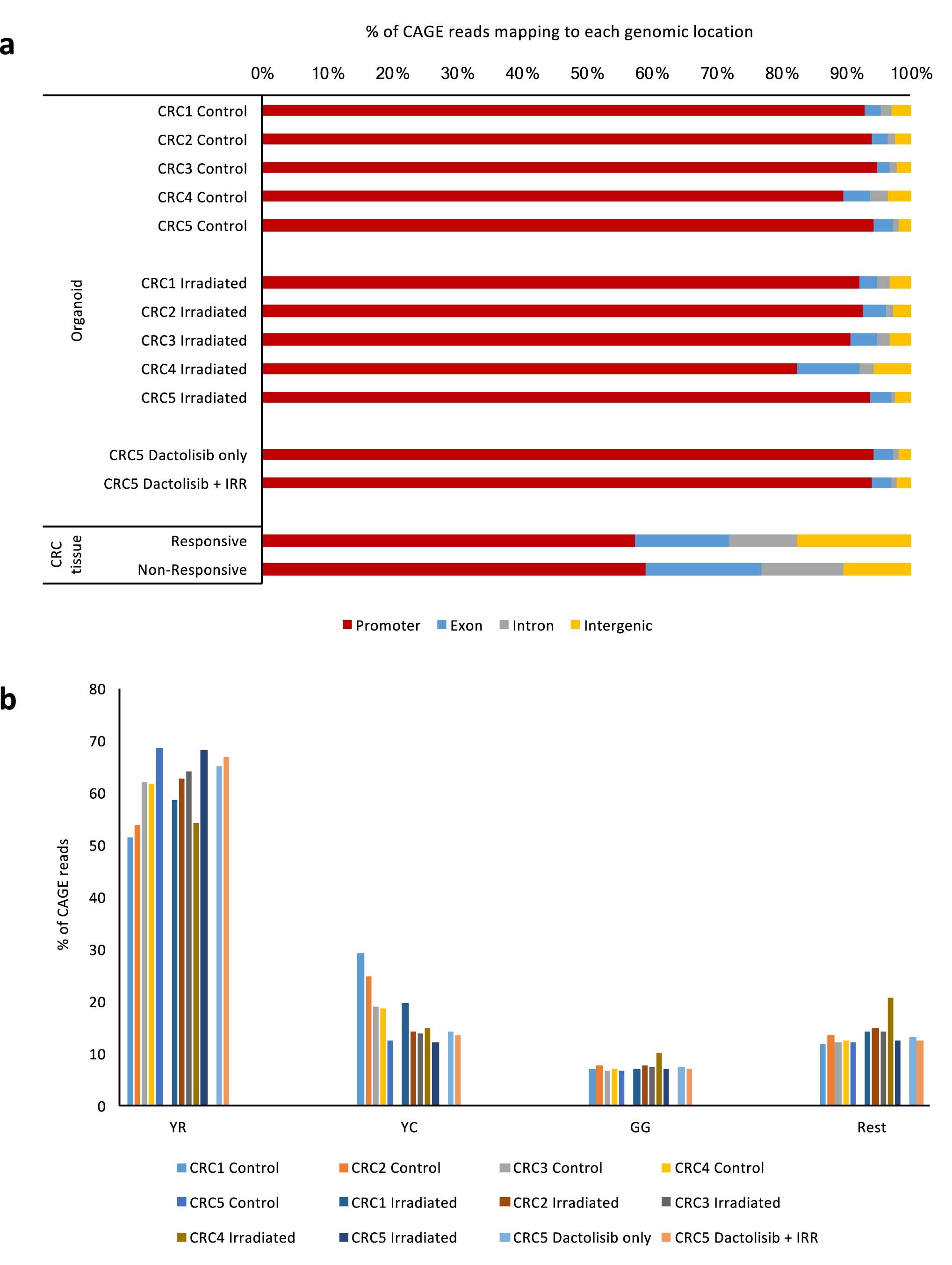
Extended Data Fig. 2: Quality assessment of new CAGE-seq datasets generated for this paper.

a, Bar graph of the frequency of CAGE read mapping to gene promoters, exons, introns and intergenic regions in each CAGE library. b, Bar graph of the frequency of CAGE reads initiating at their 5’ end with YR, YC, GG or other dinucleotides at the +1/−1 position respectively, for each CAGE library.