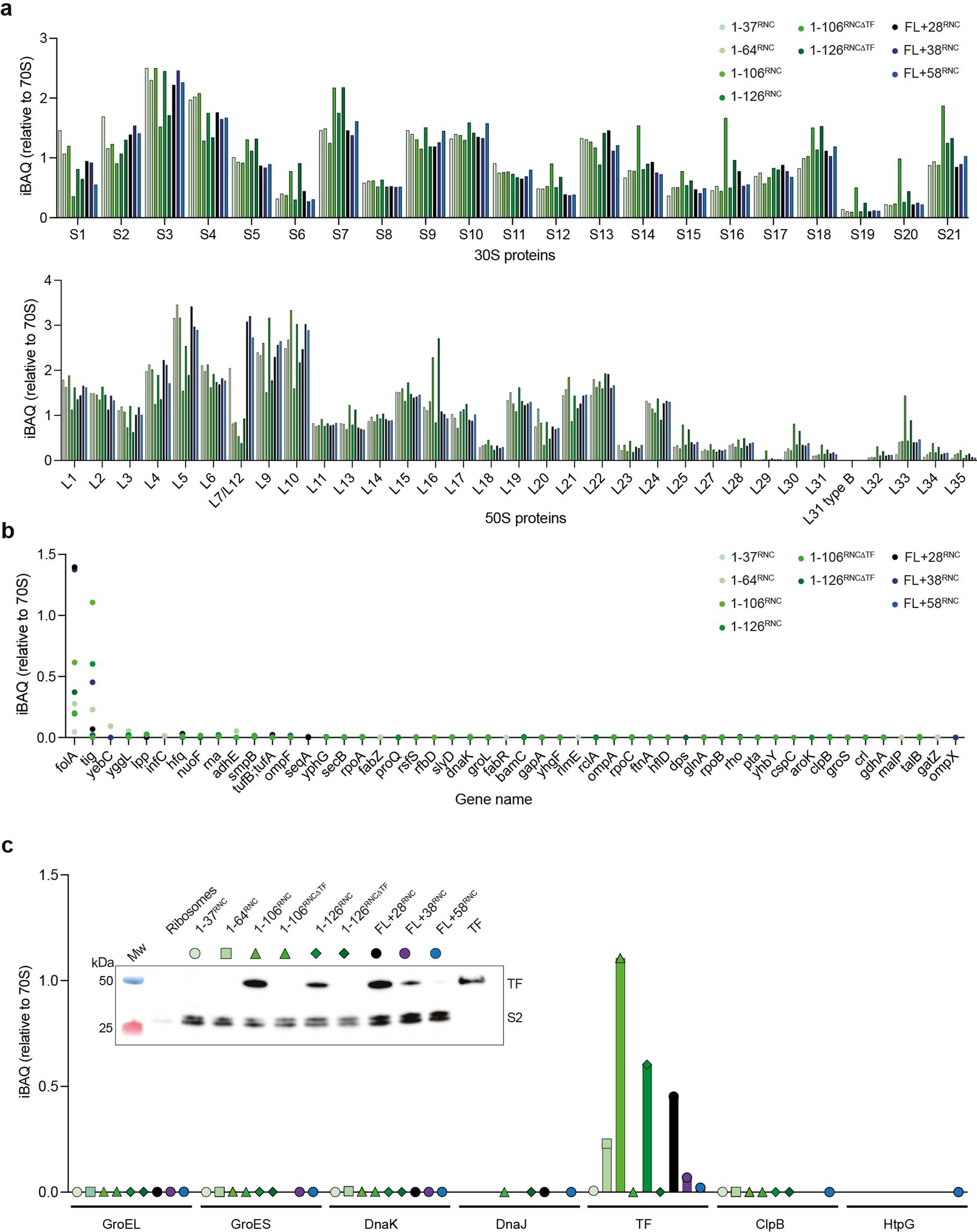
Extended Data Fig. 2: Mass spectrometric analysis of RNC composition.
From: Resolving chaperone-assisted protein folding on the ribosome at the peptide level

a, Small (30 S) and large (50 S) subunit ribosomal proteins detected in purified RNCs. Abundances are based on iBAQ values and normalized to the average iBAQ across all ribosomal proteins in that RNC sample, which is set as 1. b, Fifty most abundant proteins in RNCs, not including ribosomal proteins. Interactor stoichiometry is calculated as in a, with the average iBAQ of all detected ribosomal proteins set to 1. iBAQ values for DHFR (folA) were not corrected for NC length. c, Chaperones detected by MS analysis of RNCs. Data are normalized as in b. The inset shows a western blot of the purified RNCs, with antibodies directed against Trigger factor or 30 S protein S2 as a loading control. Western blot experiments were repeated three times with similar results.