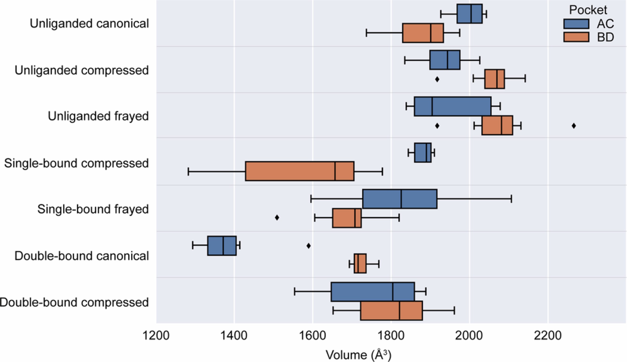
Extended Data Fig. 9: Fpocket analysis of TTR binding pockets.
From: The conformational landscape of human transthyretin revealed by cryo-EM

A box and whisker plot is shown for each of the binding pockets for all of the conformational states of TTR reported in this study. Ten atomic models were generated for each cryo-EM reconstruction using Rosetta to model any missing side-chains, and Fpocket was used to measure the volume of each binding site (see Methods). The central line in the box plot is the median and the rectangles extend to the central quartiles. The whiskers extend to contain the rest of the data, except for points that are further than 1.5 times the inter-quartile range from the closest hinge, which are considered outliers (denoted by diamonds). The mean and standard deviation of each binding pocket for the conformational states are as follows (AC, BD pocket, respectively in Å3): unliganded canonical: 1997 + /- 36, 1880 + /- 69; unliganded compressed: 1935 + /- 59, 2061 + /- 59; unliganded frayed: 1945 + /- 91, 2080 + /- 85; single-bound compressed: 1883 + /- 22, 1582 + /- 170; single-bound frayed: 1827 + /- 139, 1691 + /- 84; double-bound canonical: 1384 + /- 79, 1723 + /- 21; double-bound compressed: 1681 + /- 311, 1815 + /- 91.