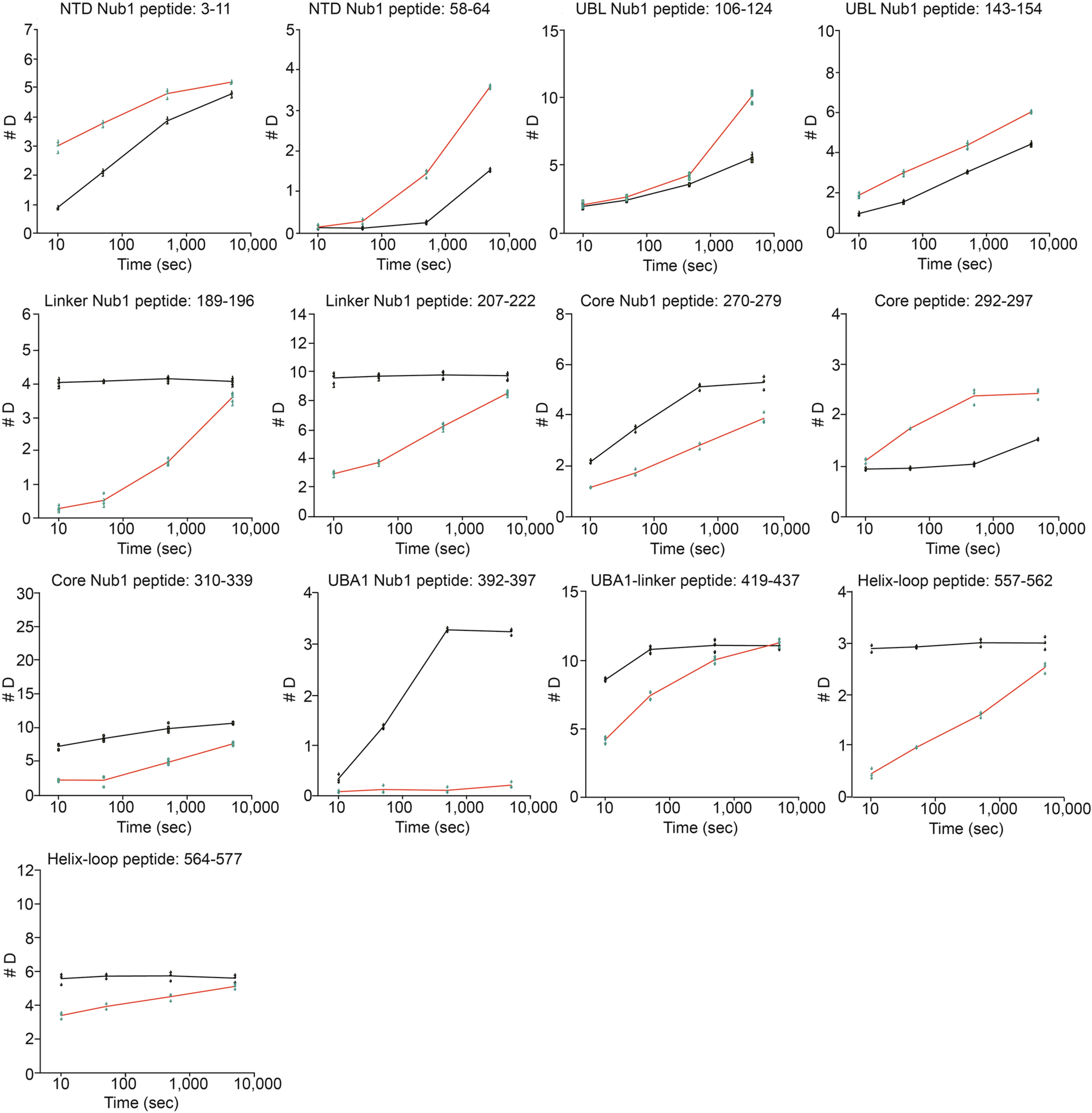
Extended Data Fig. 4: Deuterium uptake plots for selected NUB1 peptides.
From: NUB1 traps unfolded FAT10 for ubiquitin-independent degradation by the 26S proteasome

Plots show the deuterium uptake at 10, 50, 500 and 5000 s for individual peptides of NUB1 (black curves) compared to NUB1 in the presence of FAT10 (red curves) for n = 3 technical replicates.