Fig. 4
From: Geopositioning time series from offshore platforms in the Adriatic Sea

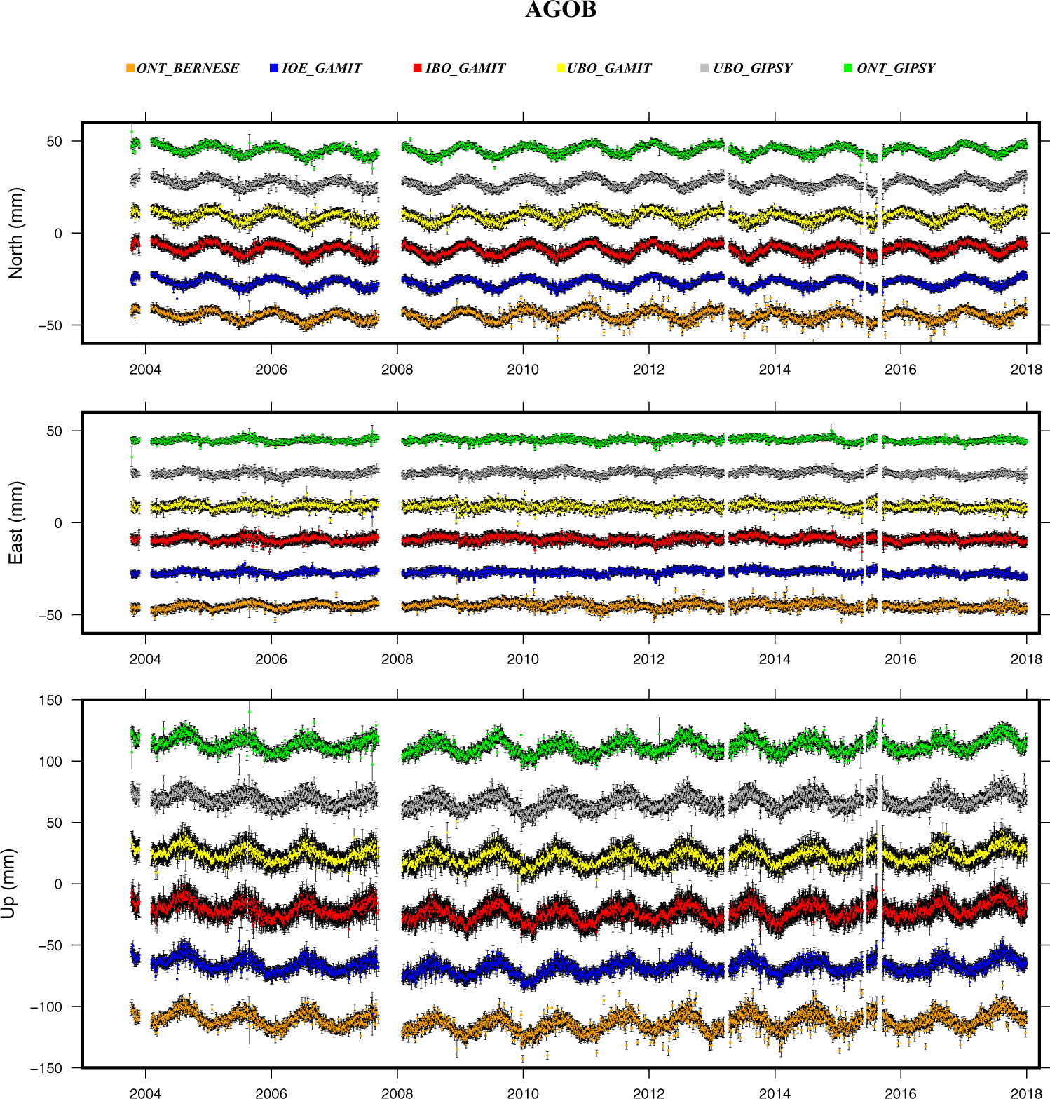
Example of time series comparison from the different solution described in the main text. Each time series is reported after correcting offsets and removing the linear trend as defined in Eq. (1).