Fig. 4

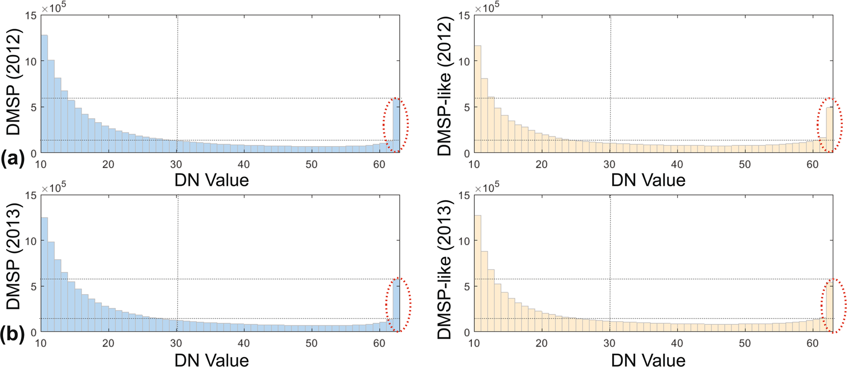
Comparison of histograms of NTL data from DMSP and VIIRS data in 2012 (a) and 2013 (b) at the global scale. Red ellipses represent DN pixels larger than 60.

Comparison of histograms of NTL data from DMSP and VIIRS data in 2012 (a) and 2013 (b) at the global scale. Red ellipses represent DN pixels larger than 60.