Fig. 4
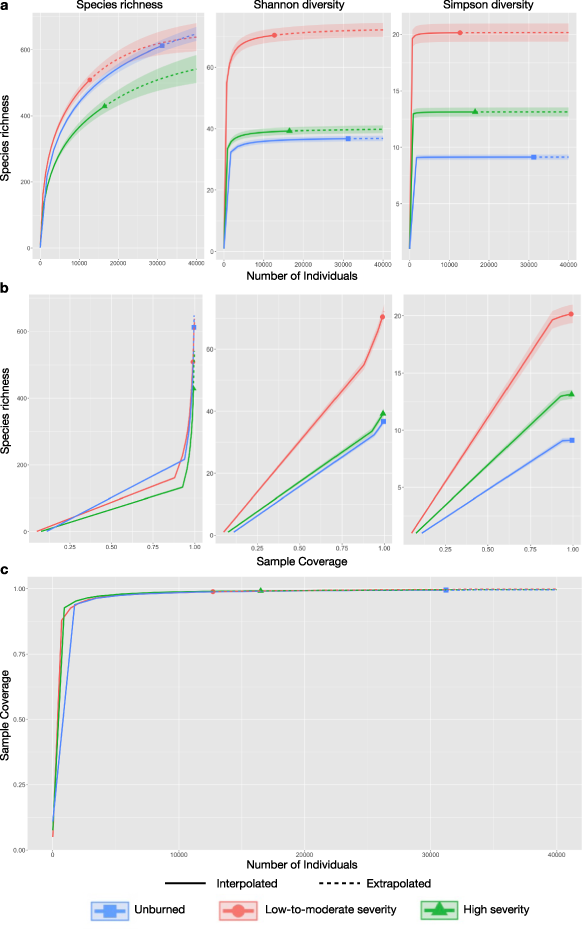
From: Food webs for three burn severities after wildfire in the Eldorado National Forest, California

Rarefaction, extrapolation and coverage estimates for all species. Estimates include all 60,429 individual organisms (producers and consumers) encountered during sampling of the Eldorado National Forest, California, three years after the King Fire. Color indicates burn severity: blue = unburned, red = low-to-moderate severity, green = high severity. Line type indicates estimate: interpolation (solid), extrapolation (dashed). (a) Sample-size based rarefaction and extrapolation. Burn severity impacts richness and evenness. Burned areas have fewer individual organisms but more common (Shannon diversity) and dominant species (Simpson diversity). (b) Coverage-based rarefaction and extrapolation. High coverage of all species, common species (Shannon diversity), and dominant species (Simpson diversity) suggests larger sample sizes may add rare species, but relative differences between treatments are unlikely to change. (c) Sample coverage estimates. Sample completeness estimates are > = 99% across burn severities, indicating comprehensive and comparable sampling effort.