Fig. 9
From: Multi sequence average templates for aging and neurodegenerative disease populations

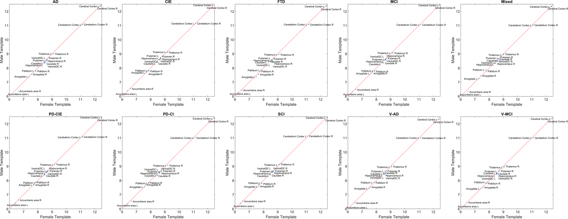
FreeSurfer based GM volumes for male and female templates for each diagnostic group. L: Left. R: Right.
From: Multi sequence average templates for aging and neurodegenerative disease populations

FreeSurfer based GM volumes for male and female templates for each diagnostic group. L: Left. R: Right.