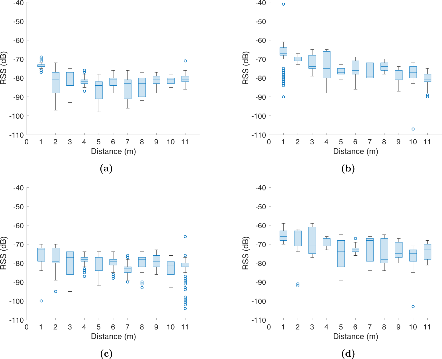
Fig. 13
From: Mobile device-based Bluetooth Low Energy Database for range estimation in indoor environments

Distribution of the RSS values of the Config01 A collected with the Device 02 (receiver) on each reference point. (a) Boxplot of the RSS values considering the Device 01 as Transmitter, (b) Boxplot of the RSS values considering the Device 03 as Transmitter, (c) Boxplot of the RSS values considering the Device 04 as Transmitter, and (d) Boxplot of the RSS values considering the Device 05 as Transmitter.