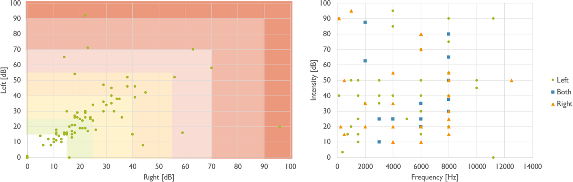
Fig. 6

Hearing condition and tinnitus characteristics. On the left, HL level of participants in left (y-axis) and right (x-axis) ears is presented. The HL level is categorized in seven impairment levels: (1) no impairment (0–15 dB), (2) slight HL (15–25 dB), (3) mild HL (25–40 dB), (4) moderate HL (45–55 dB), (5) significant HL (55–70 dB), (6) severe HL (70–90 dB), and (7) profound HL (>90 dB). On the right, acoustic characteristics of the tinnitus in terms of intensity, frequency and laterality are presented.