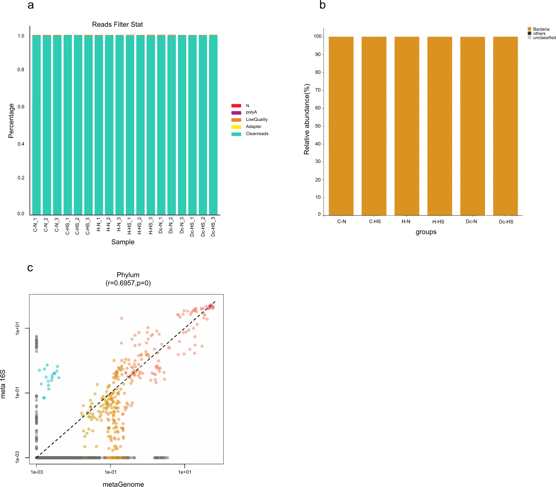
Fig. 2

The quality assessment of metagenomic sequencing data. (a) Data preprocessing distribution map. Adapter: reads with adapters; Low Quality: low-quality reads; PolyA: number of reads containing polyA (%); N: single-ended reads contain more than 10% of N bases. (b) The taxonomic prediction of raw reads is shown at the domain level. The “others” shown here means reads that contain the virus, archaea, unclassifed taxa, and other sequences. (c) Correlation of taxonomic compositions between 16S rDNA sequencing and metagenomic sequencing. “R” and “P” indicate the Pearson’s R and signifcance of the pairing, respectively.