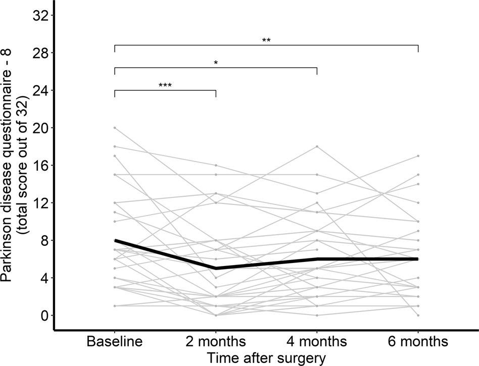
Fig. 5

Sample statistical analysis performed within DABI. Linear mixed effects regression assessing Parkinson’s Disease Questionnaire-8 (PDQ8) score across time for 31 patients who underwent unilateral directional subthalamic nucleus deep brain stimulation for Parkinson’s disease. Data provided by Dr. Harrison Walker at the University of Alabama at Birmingham. Health related quality of life scores from PDQ8 decrease with treatment at multiple time points versus preoperative baseline (p-value: 0.005). ***p < 0.001, **p < 0.01, *p < 0.05.