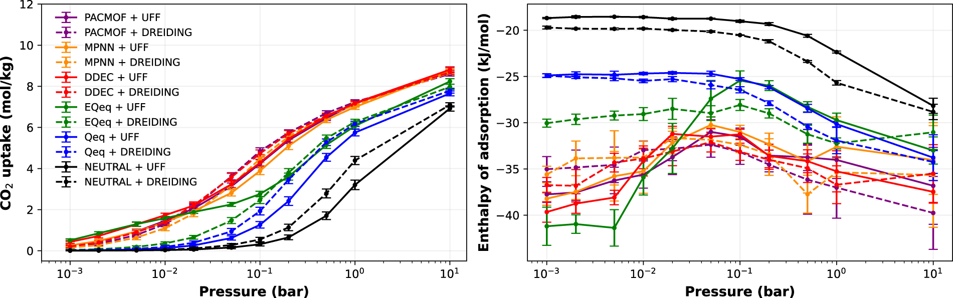
Fig. 4
From: CRAFTED: An exploratory database of simulated adsorption isotherms of metal-organic frameworks

Example of the impact of the choice of force fields and partial charges on the simulated (a) adsorption isotherms and (b) enthalpy of adsorption of CO2 on MULQOA MOF at 273 K.