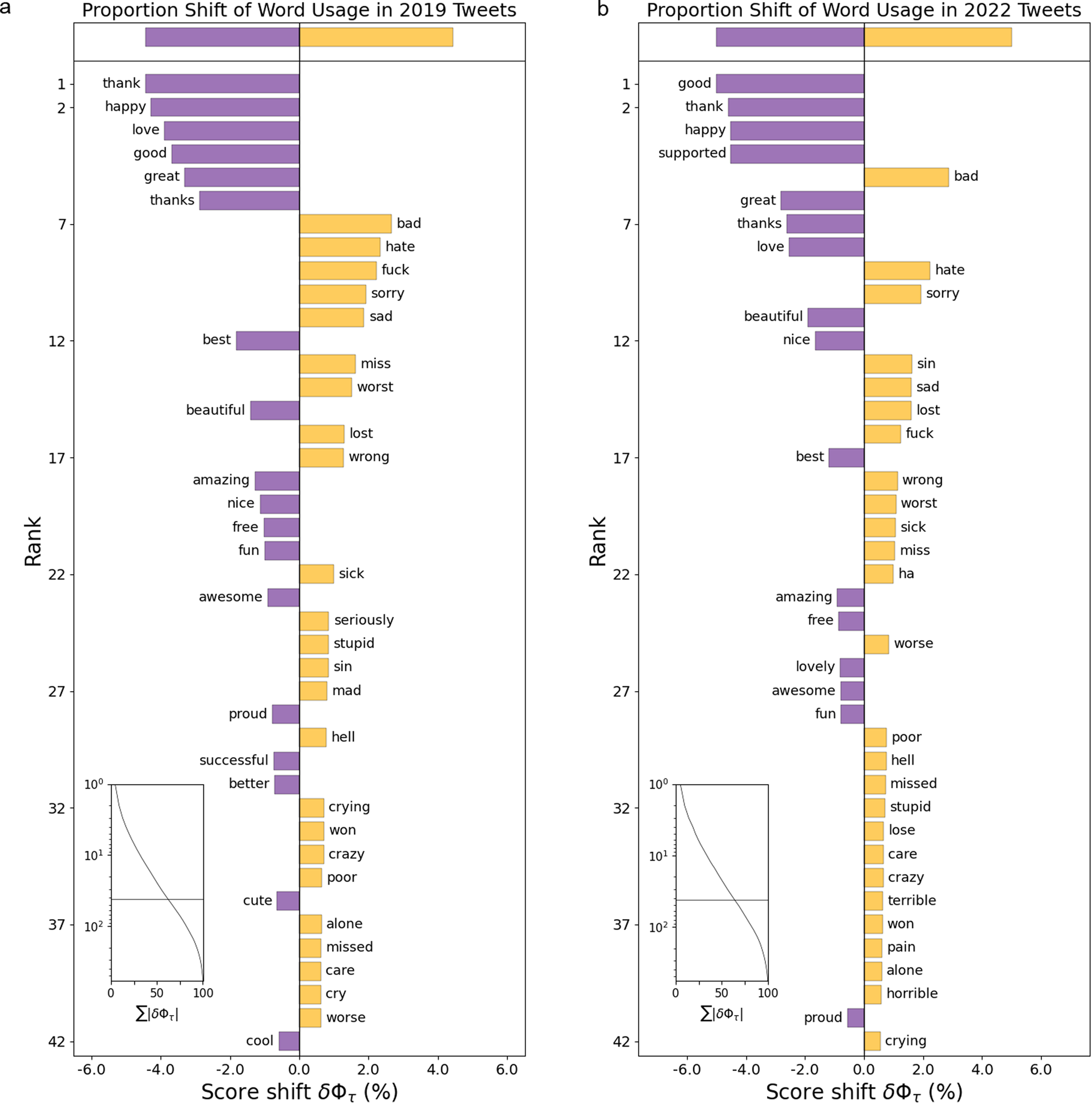
Fig. 6

The word shift figures show the relative frequency of words in the top 25% and bottom 25% of tweets in 2.5 million randomly selected tweets in both year 2019 and 2022. Words on the left (e.g., thank, good, happy, etc.) indicate that they are relatively more common in the top quarter of tweets while words on the right (e.g., bad, hate, sorry, etc.) represent that they show up more in the bottom quarter of tweets.