Fig. 3
From: A dataset of low-carbon energy transition index for Chinese cities 2003–2019

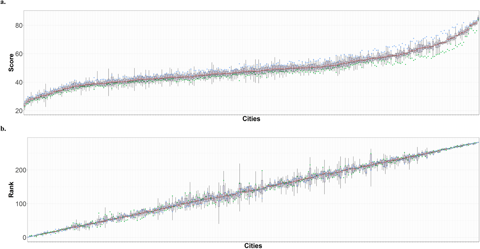
Sensitivity analysis for city-level ETI scores. (a) Sensitivity analysis results for scores. (b) Sensitivity analysis results for rankings. The robustness of the energy transition index (ETI) is scrutinized through varied upper and lower bounds, distinct aggregation methods, and a systematic exclusion of dimensions within the ETI framework. The cities are arranged in order of their medians, with the baseline ETI value highlighted in red. Results predicated on alternative upper and lower bounds of 0.01 and 0.99, as well as 0.05 and 0.95, are denoted in blue and green, respectively. In each box plot, the central rectangle delineates the interquartile range (IQR) from the first quartile (Q1) to the third quartile (Q3), wherein the line segment inside the rectangle represents the median. When the maximum observed ETI scores surpass Q3 + 1.5 × IQR, the upper whisker is Q3 + 1.5 × IQR. Otherwise, the upper whisker corresponds to the maximum observed ETI score. When the minimum observed ETI scores fall below Q1 − 1.5 × IQR, the lower whisker is Q1 − 1.5 × IQR. Otherwise, the lower whisker aligns with the minimum observed ETI score. Analogous principles apply for the ETI rankings.