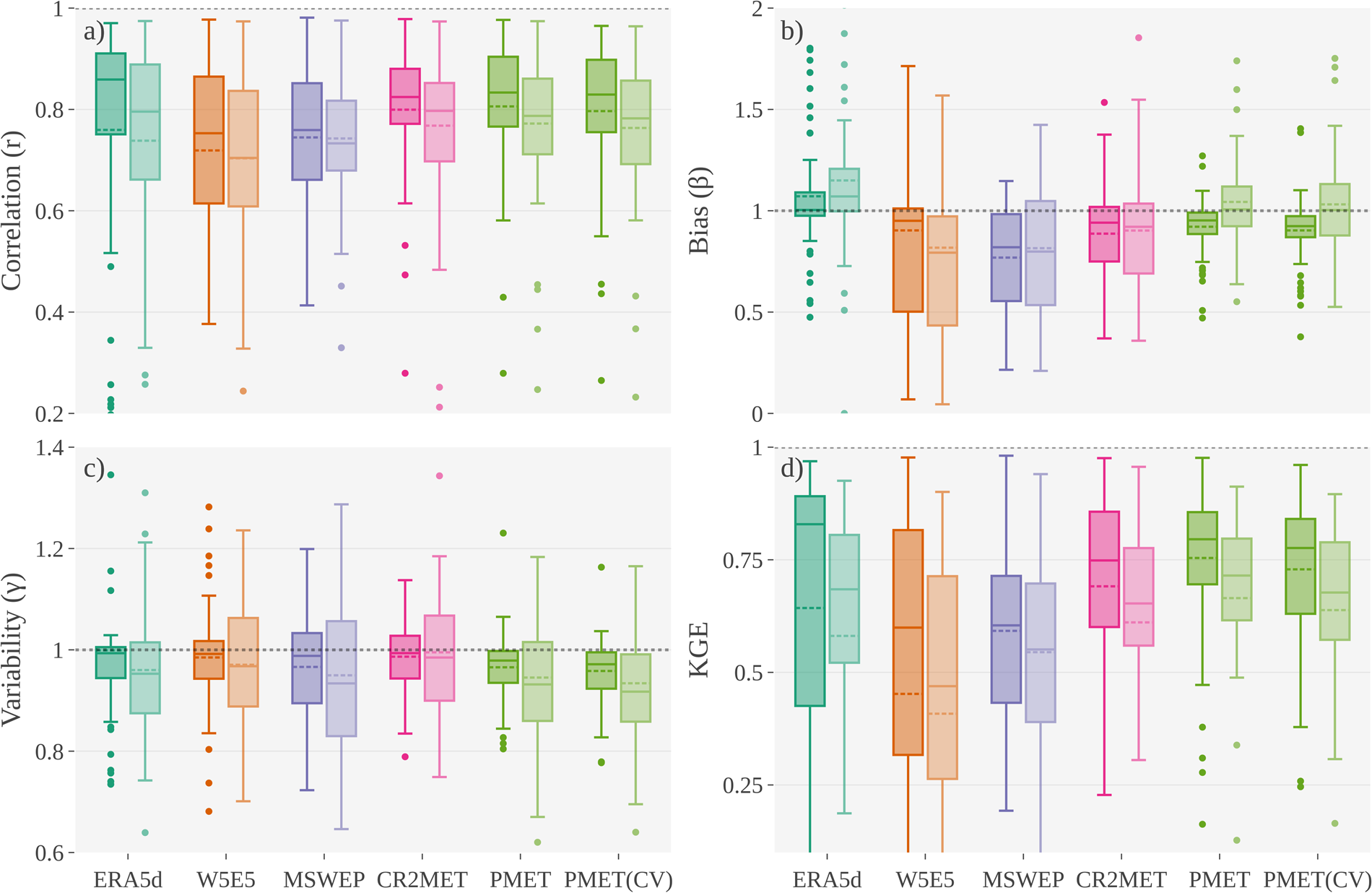
Fig. 6
From: PatagoniaMet: A multi-source hydrometeorological dataset for Western Patagonia

Hydrological model performance (on a monthly basis) under different atmospheric alternatives (ERA5d, MSWEP v2.8/MSWX, CR2MET v2.5, W5E5 v2.0 and PMET-sim). The PMET-sim (CV) corresponds to the summarized results (“unseen” stations) from the 10-fold cross-validation. The calibration (dark colours) and validation (light colours) periods were 1990–2005 and 2006–2020, respectively. The horizontal dotted line in each panel represents the optimal value.