Fig. 1
From: Chromosome-level genome assembly of Hippophae gyantsensis

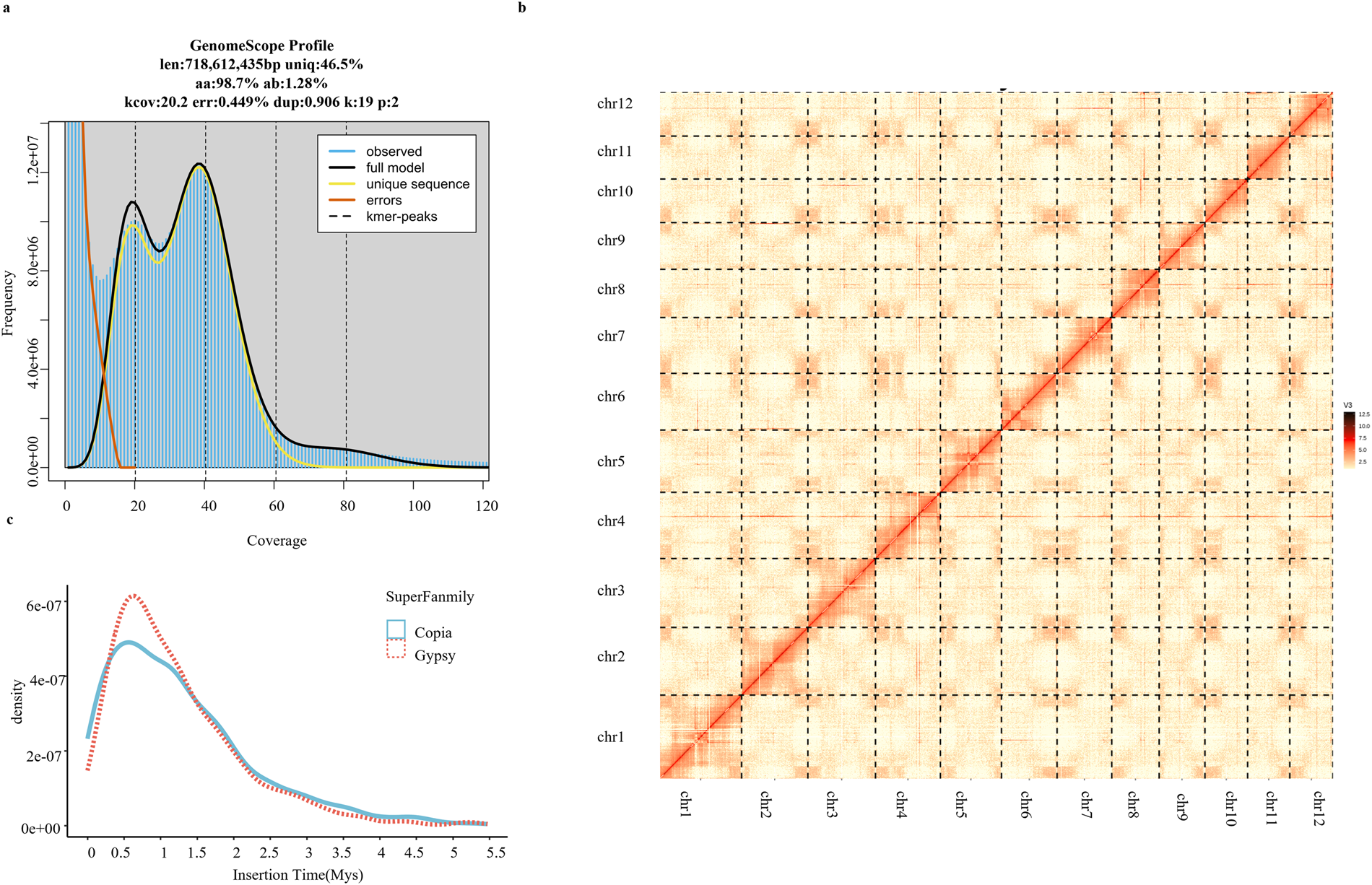
Chromosome-level genome assembly of the H. gyantsensis (a) K-mer analysis of H. gyantsensis. (b) Hi-C interaction heatmap for the H. gyantsensis genome. (c) Distribution of LTR -RTs insertion times for H. gyantsensis.