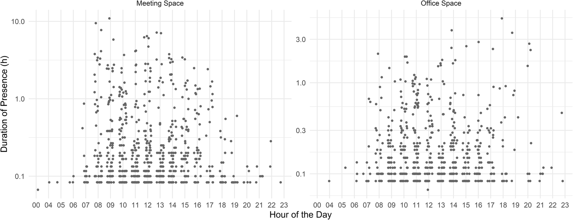
Fig. 8
From: Comprehensive energy demand and usage data for building automation

SolAce user presence. Each presence in SolAce’s meeting and office space (n = 1350) is represented using its duration (logarithmic) and the hour of the day, when the presence started.