Fig. 1
From: High-throughput drug screening identifies novel therapeutics for Low Grade Serous Ovarian Carcinoma

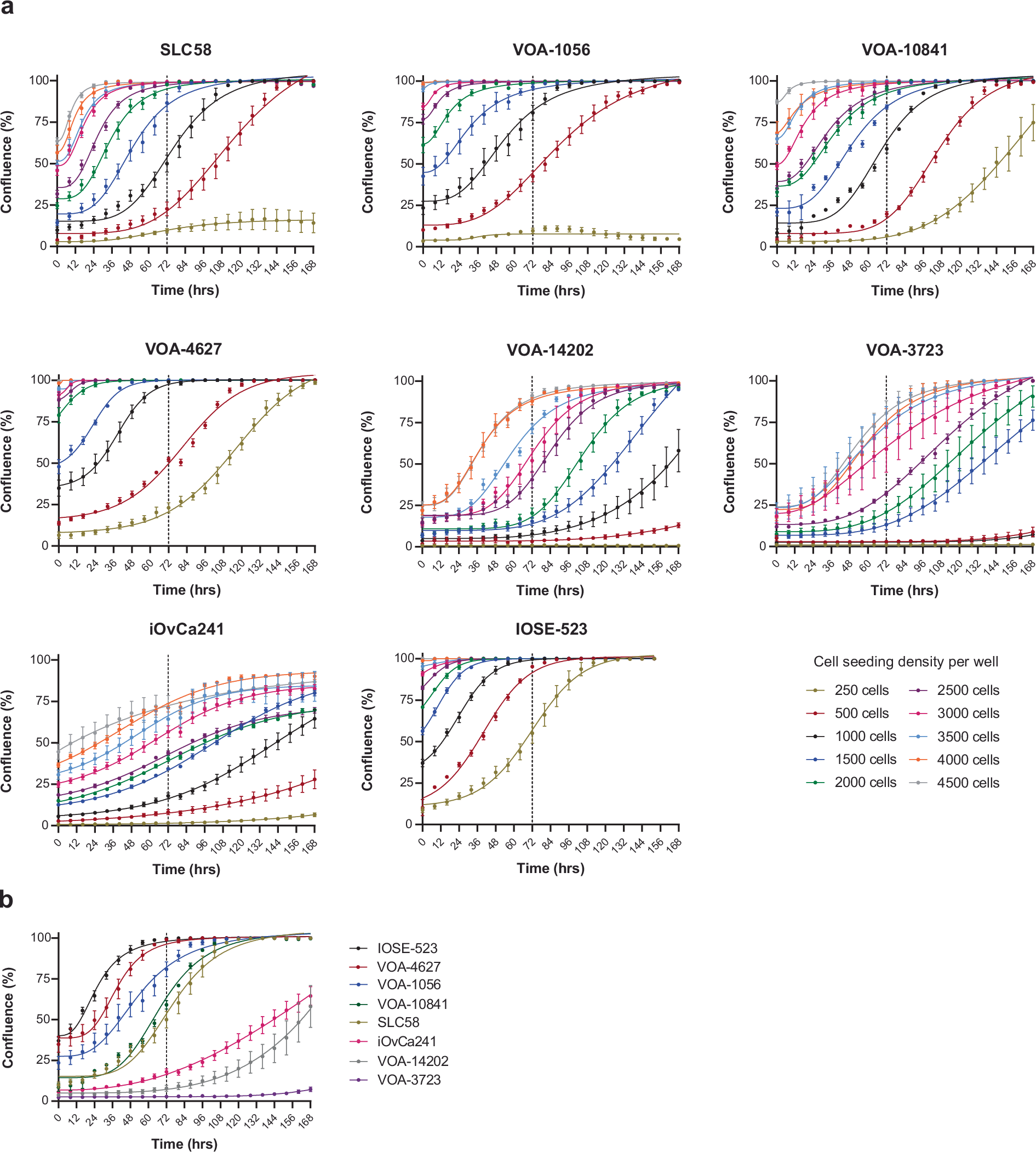
Growth kinetic analysis of cell lines used for high-throughput drug screening. (a) Representative IncuCyte confluency kinetics of cell lines. Cell lines were seeded at the indicated concentrations with phase contrast images taken every 8 hr over a 168 hr period. Data represent mean confluency +/− SEM from quadruplicate wells. (b) Growth kinetics of 8 cell lines seeded at 1000 cells per well, imaged and analysed as stated previously.