Thank you for visiting nature.com. You are using a browser version with limited support for CSS. To obtain
the best experience, we recommend you use a more up to date browser (or turn off compatibility mode in
Internet Explorer). In the meantime, to ensure continued support, we are displaying the site without styles
and JavaScript.
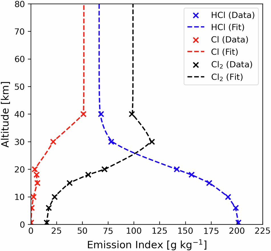
Vertical profiles of Cly emission indices from 0 to 80 km. Symbols are averaged data from studies of chlorine mass partitioning68,69,70,71 and the dashed lines are fits to the data for HCl (blue, Eq. (4)), Cl (red), and Cl2 (black).