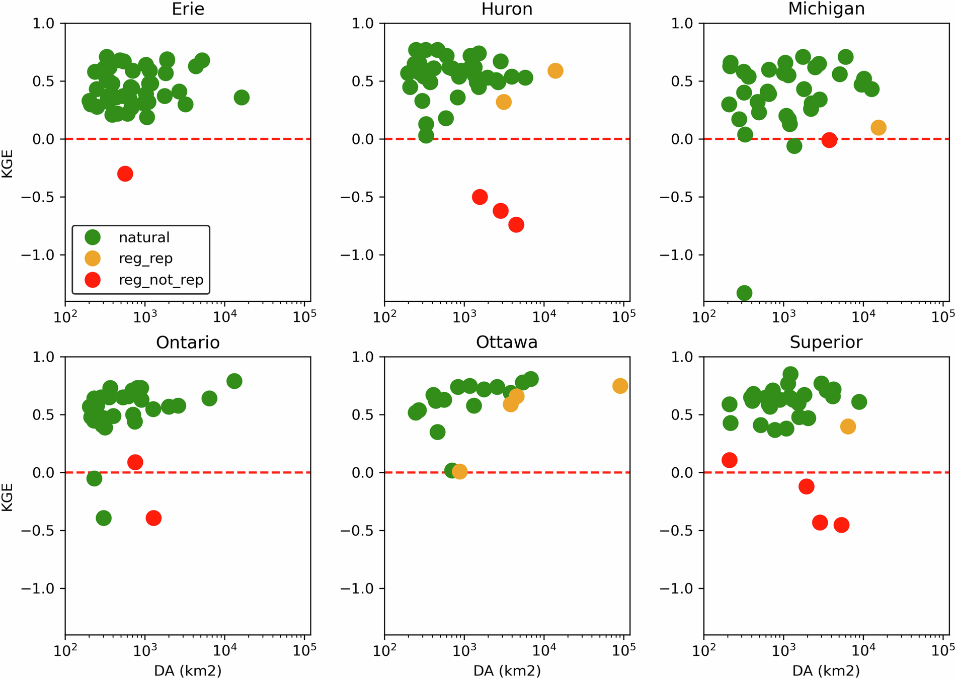
Fig. 12
From: Hydrologic outputs generated over the Great Lakes with a calibrated version of the GEM-Hydro model

Overview of the streamflow performances (KGE) of the calibrated GEM-Hydro version (NSRPS configuration), over the validation period. Performances are shown for each subdomain separately, and as a function of basin size (DA, in km2 – logarithmic scale). Green dots (“natural”) represent natural basins. Orange dots (“reg_rep”) represent basins that are regulated and for which the regulation is explicitly represented in GEM-Hydro based on the DZTR reservoir model. Red dots (“reg_not_rep”) represent regulated basins for which the regulation is not explicitly represented in GEM-Hydro. Note that some of the green dots may correspond to red ones, since not all stations shown here were carefully checked for their regulation type, but only the ones with low performances inside each basin.