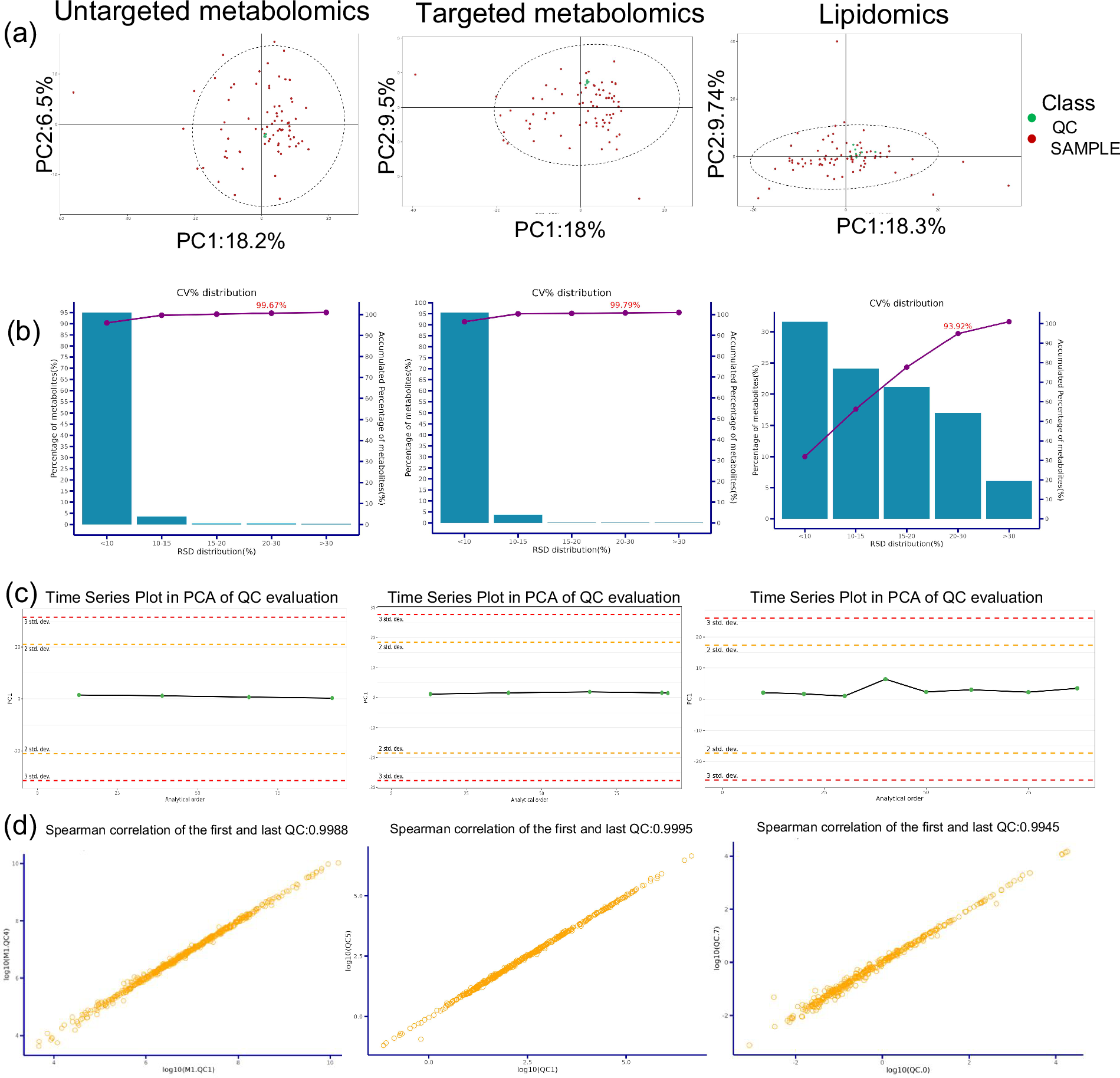
Fig. 2

Technical validation data for QC samples in methods. (a) Principal component analysis (PCA) of cohort samples. Including untargeted metabolomics; targeted metabolomics and lipidomics. (b) Distribution graph of relative variation coefficient for the analytes in QCs. Including untargeted metabolomics; targeted metabolomics and lipidomics. (c) The stability of the first principal component of QCs over time. Including untargeted metabolomics; targeted metabolomics and lipidomics. (d) Spearman correlation analysis between the first and last QC data.