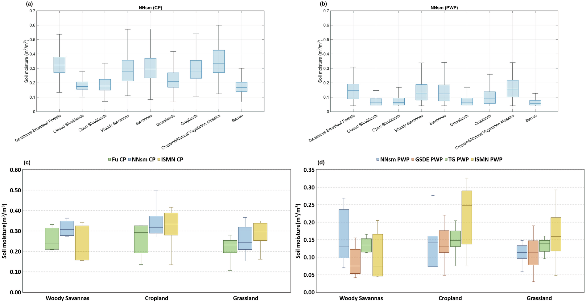
Fig. 8
From: A global dataset of remote sensing-based soil critical point and permanent wilting point

The relationship between CP and PWP and vegetation types. (a,b) show the boxplots of CP and PWP derived from NNsm in different vegetation types. (c,d) show comparisons of CP and PWP derived from NNsm with the values based on 35 ISMN sites and derived from other products. Box edges are the 25th and 75th percentiles of the distribution bounding the median, and whiskers extend to extrema (maximum and minimum).