Fig. 9
From: A global dataset of remote sensing-based soil critical point and permanent wilting point

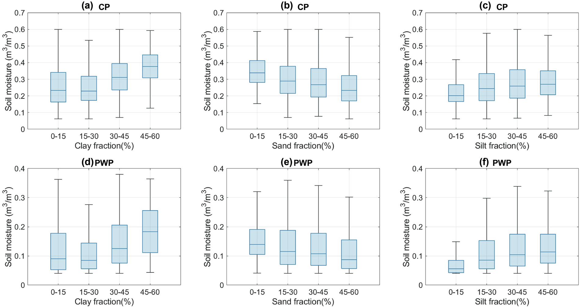
The relationship between (a–c) CP and soil texture and (d–f) PWP and soil texture. Box edges are the 25th and 75th percentiles of the distribution bounding the median, and whiskers extend to extrema (maximum and minimum). Bin counts are all greater than 600.