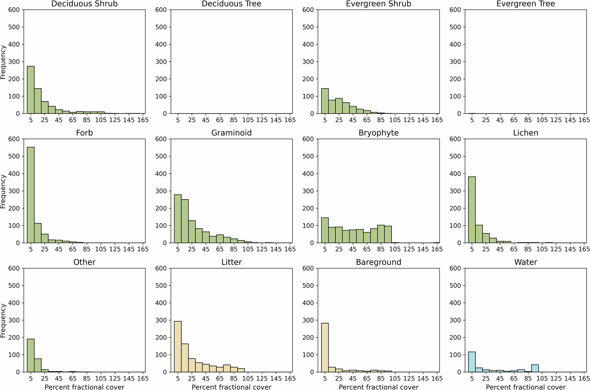
Fig. 5
From: PAVC: The foundation for a Pan-Arctic Vegetation Cover database

Fractional cover distribution plots of each cover type in the PAVC database. Frequency counts indicated by bar height are green for vegetation, orange for non-vegetation, and blue for water. All of the x and y axis limits are shared, allowing for direct comparison between PFTs.