Figure 5
From: Evolution of the intrinsic electronic phase separation in La0.6Er0.1Sr0.3MnO3 perovskite

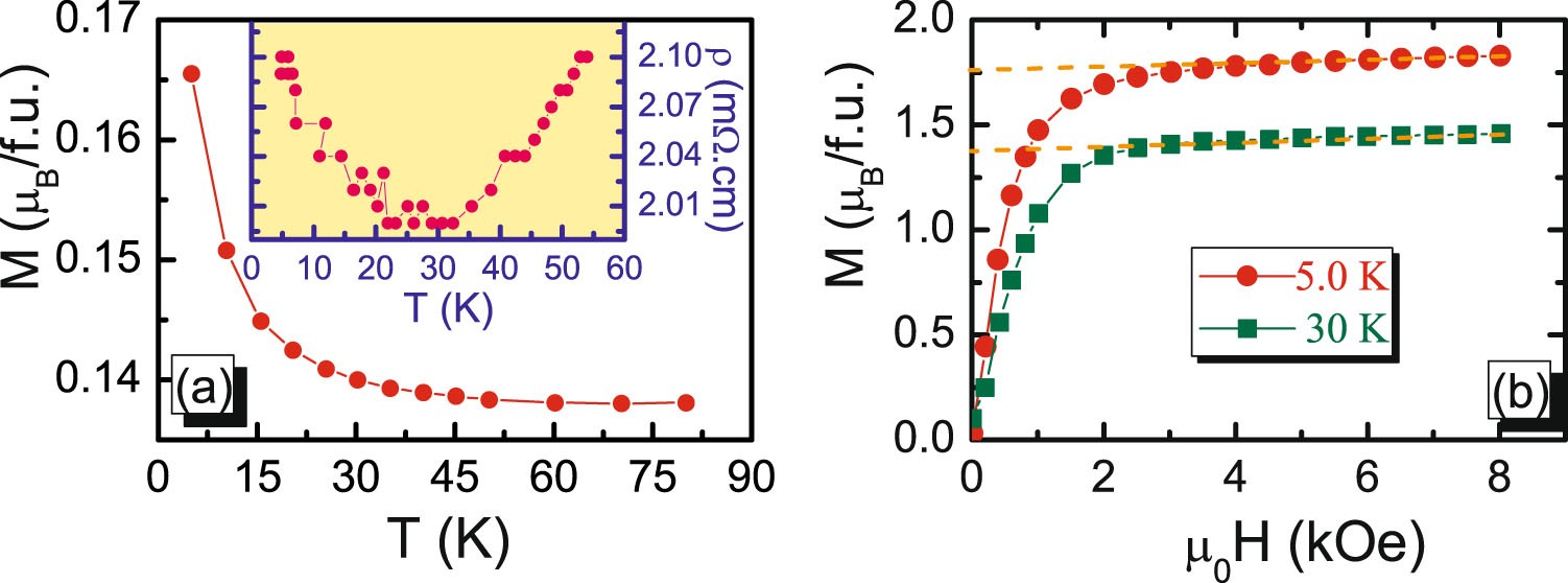
(a) Temperature dependence of magnetization at low temperature and inset shows the magnifying plot of resistivity as a function of temperature at low temperature. (b) Isothermal magnetization measured at 5.0 and 30 K for La0.6Er0.1Sr0.3MnO3.