Figure 4
From: Theoretical and computational validation of the Kuhn barrier friction mechanism in unfolded proteins

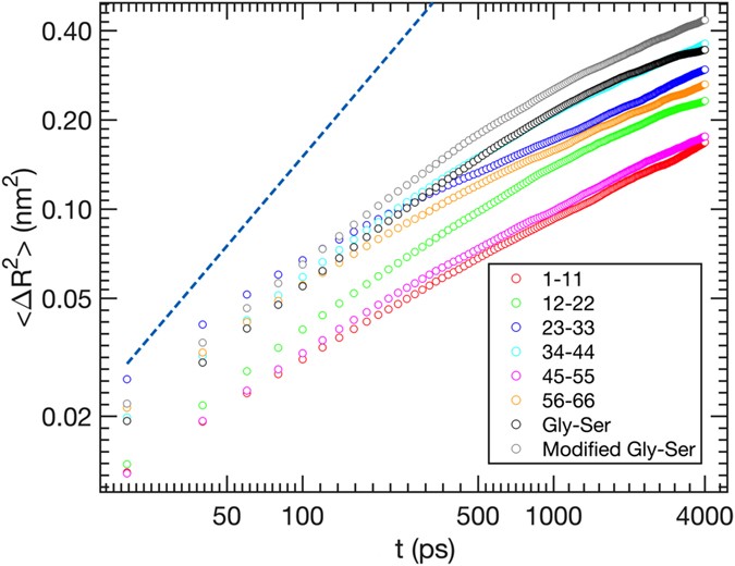
The end-to-end dynamics of all of the peptides studied here is subdiffusive, with mean square displacement \(\langle\Delta {R}^{2}\rangle\) scaling as \({t}^{0.4-0.7}\) at short times t. For comparison, the dashed line shows the behavior expected for normal diffusion.