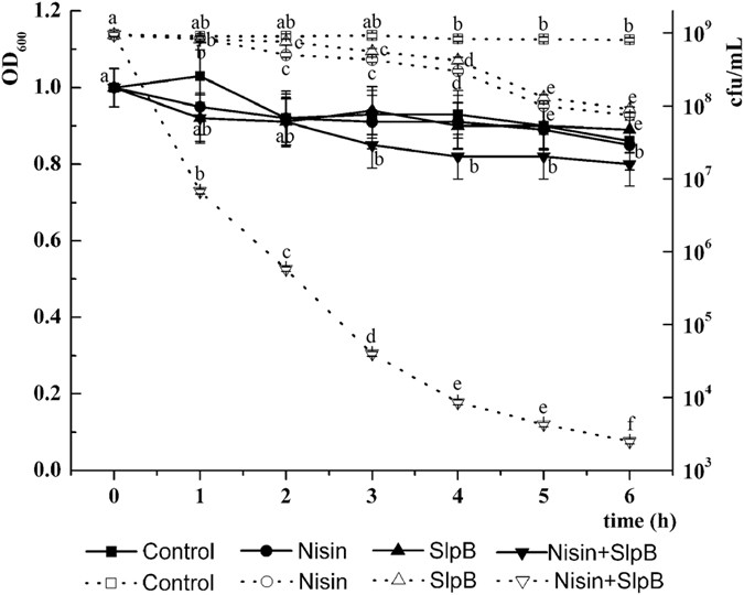
Figure 1

Lytic curves of SlpB, nisin, or nisin + SlpB. Exponentially growing bacteria were incubated in the presence of nisin, SlpB or nisin + SlpB. Nisin concentration, 100 μg/mL; SlpB, 40 μg/mL. Three or more independent experiments were performed. Dotted line, cfu/mL; unbroken line, OD600. Different letters in the curve indicate significant difference (p < 0.05).