Figure 1
From: Visualization of weak interactions between quantum dot and graphene in hybrid materials

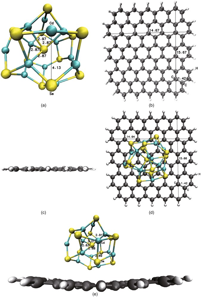
The optimized structure model. (a) Single Cd13Se13 QD with a core-cage structure. The bond lengths between the central Se atoms and four nearby Cd atoms of QD cage surface are 2.87 Å 2.87 Å, 2.87 Å, and 2.89 Å, and the interval between the specified Cd and Se atoms is 4.13 Å. (b,c) Quadrilateral graphene with two armchair edges and two zigzag edges with top and side views, respectively. The length and width of the single-layer graphene are 15.67 Å and 14.67 Å, respectively, and the lattice constant is 1.42 Å. (d,e) Hybrid QD-GR structure with top and side views, respectively. The bond lengths between the Se atoms of the QD core centre and four nearby Cd atoms of the QD cage surface in the optimized hybrid QD-GR system become 2.83 Å, 2.88 Å and 2.91 Å and 3.01 Å. The length and width of the quadrilateral graphene with a slightly bent and twistd surface in the optimized hybrid QD-GR system are 15.66 Å and 14.64 Å, respectively.