Figure 2
From: Catalyzed Synthesis of Zinc Clays by Prebiotic Central Metabolites

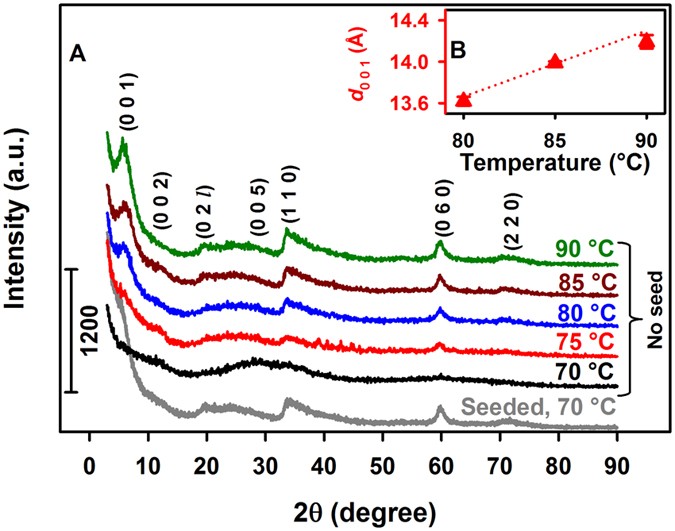
Powder XRD and d 0 0 1 values for 2:1 sauconite synthesized at pH0 6.3 with 0.10 M succinate during 20 h under variable temperature. (A) XRD diffractograms under the temperatures listed above each trace. The gray line at the bottom labeled “seeded” corresponds to an experiment at 70 °C started after adding a single particle from sauconite synthesized at 90 °C. An oval shaped particle weighing 0.7 (±0.1) mg and symmetry axes of length 313 (±9) and 144 (±7) µm was used for seeding. (B) Values of d 0 0 1 (red solid triangle) for traces in (A) with no seed vs temperature.