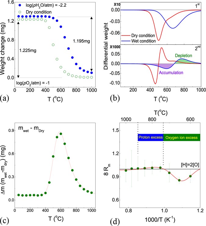
Figure 1
From: Hydration of Proton-conducting BaCe0.9Y0.1O3−δ by Decoupled Mass Transport

(a) Weight change, (b) differential weight of BCY10, (c) difference in weight between dry (pH2O = 4.0 × 10−5 atm) and wet (pH2O = 0.0063 atm) conditions, and (d) relative reaction concentrations, Rm, using Bk (k = i, v) from TGA mass relaxation upon hydration as functions of temperature.