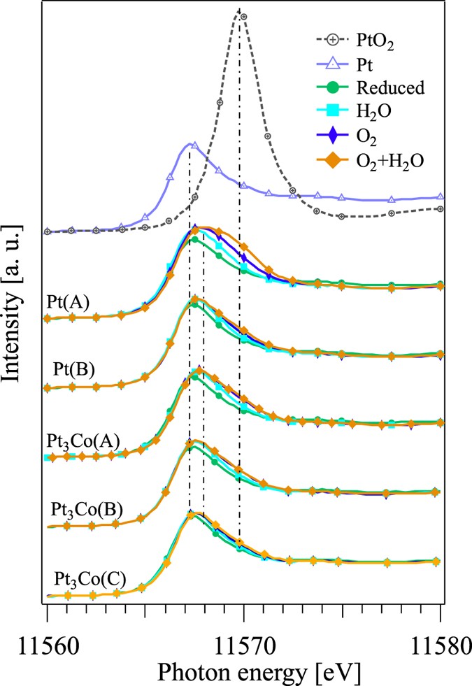
Figure 4

In situ HERFD-XAS spectra of Pt and Pt3Co nanoparticles under reduced condition, O2, H2O, as well as O2 + H2O adsorptions for Pt(A), Pt(B), Pt3Co(A), Pt3Co(B), Pt3Co(C) samples from top to the bottom. HERFD-XAS spectra of the Pt foil and PtO2 powder were also shown as standards of fully reduced and oxidized conditions. The vertical dotted-broken lines are drawn to the peak positions of Pt foil, PtO2, and Pt(A) under O2 + H2O adsorption.