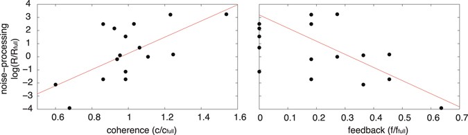
Figure 2

Plots of the data from Table 1. Removal of edges that result in an increase of coherence in the network tend to diminish the system’s noise-processing ability, while removal of edges which reduce the overall feedback structure of the network tend to improve the system’s noise-processing ability. Red lines show linear regression.