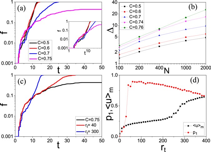
Figure 2

(a) Represents the typical cases for a chosen source node to spread its firing to the entire network where the four lines denote the situations of C = 0.5, 0.6, 0.7 and 0.75, respectively, and the inset is its log-log plot. (b) Δ versus N where the lines represent the cases of C = 0.5, 0.6, 0.7, 0.74 and 0.76, respectively. (c) The black line represents the case of C = 0.75 where the firing at chosen source node cannot be spread to the entire network. The red and blue lines represent the cases of rewiring the network with C = 0.75 for r t  = 40 and 300, respectively, where the firing at chosen source node can be now spread to the entire network and the rewired networks have C ≈ 0.72 and 0.5, respectively. (d) 〈u〉 m and p 1 vs r t , where p 1 represents the possibility for the firings at chosen source nodes to be spread to the entire network when every node in the network has been chosen as the source node for one time.