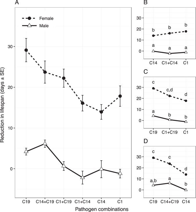
Figure 2

Relative reduction in host lifespan for all co-infection treatments. Pathogen combinations in panel A are ordered by spore loads in infected females (left to right, lowest to highest). Panels B to D show the same results subset by the specific co-infection combinations, with lower-case letters indicating significant groupings via post-hoc t-tests and Benjamini & Hochberg adjusted p-values.